Официальное опубликование правовых актов
ОФИЦИАЛЬНОЕ ОПУБЛИКОВАНИЕ
Постановление Правительства Санкт-Петербурга от 12.12.2023 № 1320
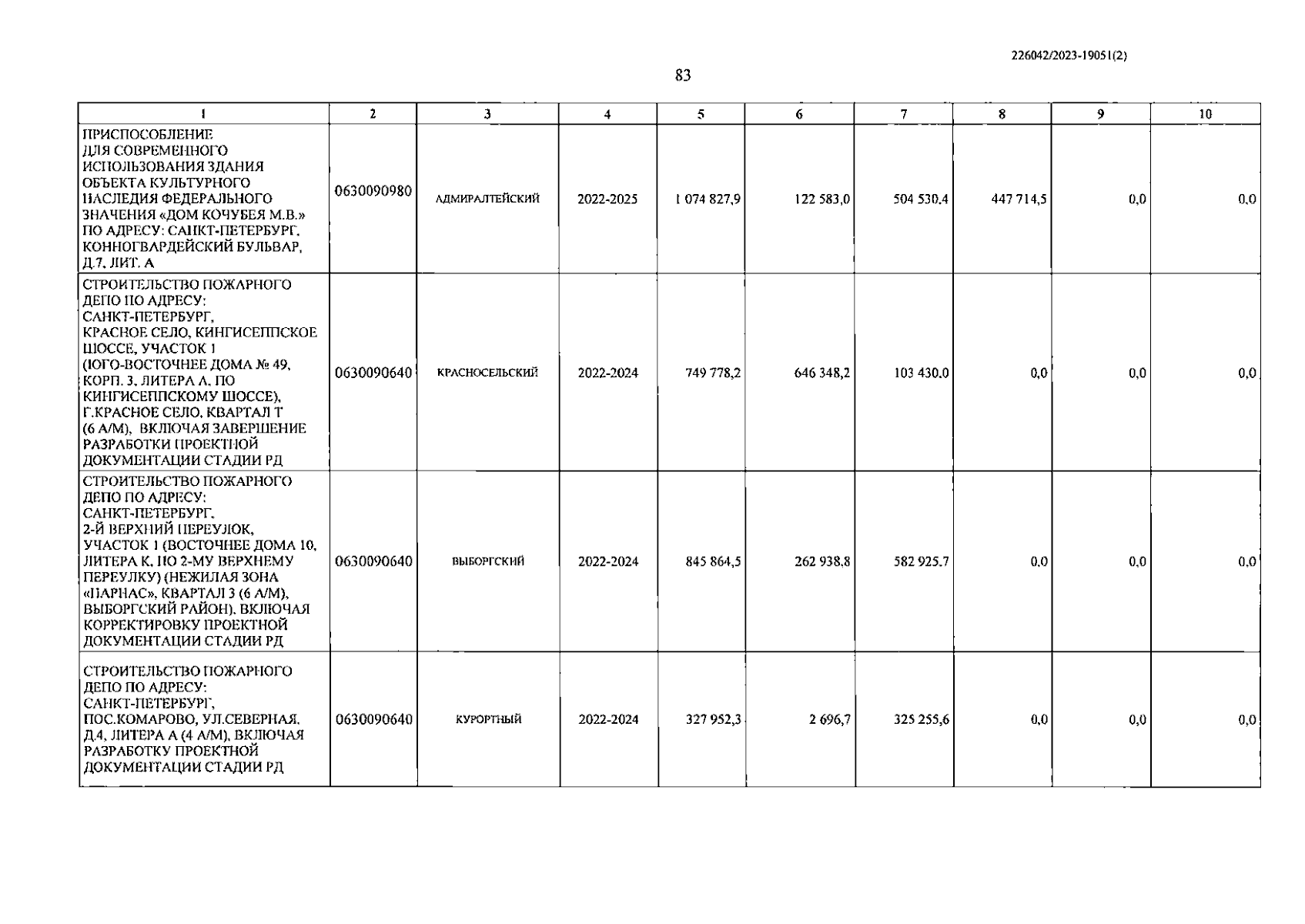
"О пообъектном распределении бюджетных ассигнований на осуществление капитальных вложений в существующие и создаваемые объекты капитального строительства государственной собственности Санкт-Петербурга и(или) приобретение за счет средств бюджета объектов недвижимого имущества в государственную собственность Санкт-Петербурга в соответствии с Адресной инвестиционной программой на 2024 год и на плановый период 2025 и 2026 годов"
Номер опубликования: 7800202312150015
Дата опубликования: 15.12.2023
Страница №84 из 109:
Увеличить