Официальное опубликование правовых актов
ОФИЦИАЛЬНОЕ ОПУБЛИКОВАНИЕ
Постановление Правительства Санкт-Петербурга от 24.11.2023 № 1239
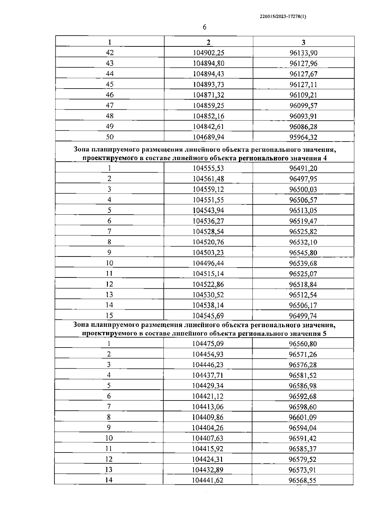
"Об утверждении проекта планировки с проектом межевания территории для размещения линейных объектов регионального значения "Проектируемая улица № 1 от Авиационной ул. до планируемой проектируемой улицы № 4", "Проектируемая улица № 2 от проектируемой улицы № 1 до проектируемой магистрали городского значения", "Проектируемая улица № 3 от проектируемой улицы № 1 до проектируемой магистрали городского значения"
Номер опубликования: 7800202311290001
Дата опубликования: 29.11.2023
Страница №23 из 46:
Увеличить