Официальное опубликование правовых актов
ОФИЦИАЛЬНОЕ ОПУБЛИКОВАНИЕ
Постановление Правительства Санкт-Петербурга от 17.10.2023 № 1099
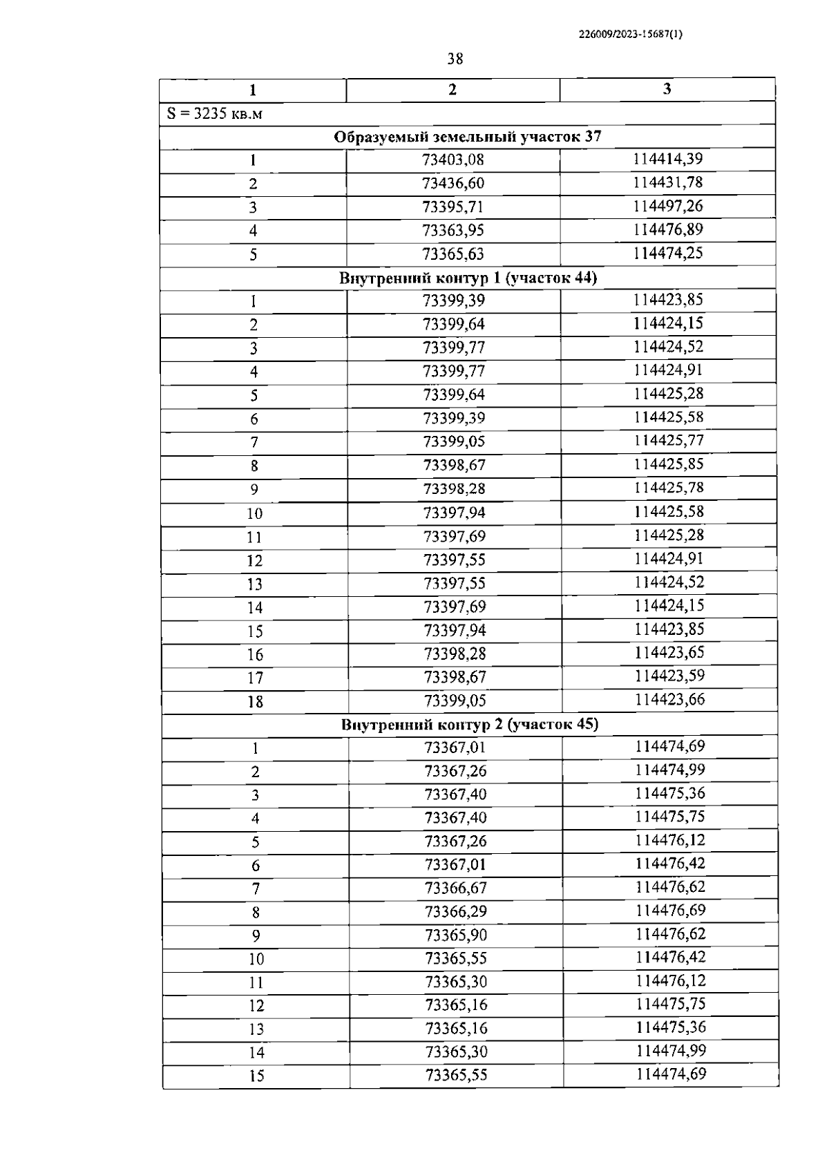
"Об утверждении проекта планировки с проектом межевания территории для размещения линейных объектов регионального значения "Проектируемая улица № 1 от Пулковского шоссе до проектируемой улицы № 2", "Кокколевская ул. от Пулковского шоссе до перспективного проезда", "Проектируемая улица № 3 от Пулковского шоссе до проектируемой улицы № 2", "Проектируемая улица № 2 от Волхонского шоссе до перспективного проезда", "Проектируемая улица № 4 от Кокколевской ул. до Южно-Волхонской дороги"
Номер опубликования: 7800202310240015
Дата опубликования: 24.10.2023
Страница №65 из 116:
Увеличить