Официальное опубликование правовых актов
ОФИЦИАЛЬНОЕ ОПУБЛИКОВАНИЕ
Постановление Правительства Санкт-Петербурга от 17.10.2023 № 1090
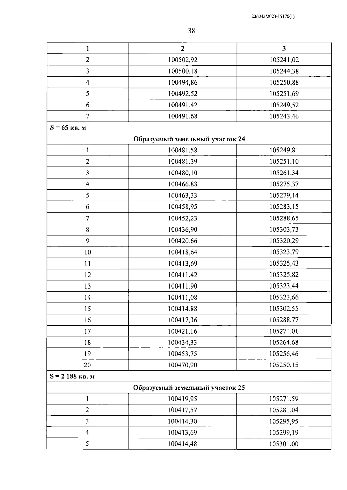
"Об утверждении проекта планировки с проектом межевания территории для размещения линейного объекта регионального значения "Магистраль М-32 на участке от М-49 до Приморского шоссе с путепроводной развязкой через железнодорожные пути Сестрорецкого направления с подключением к Шуваловскому пр. и Лахтинскому пр."
Номер опубликования: 7800202310240007
Дата опубликования: 24.10.2023
Страница №108 из 164:
Увеличить