Официальное опубликование правовых актов
ОФИЦИАЛЬНОЕ ОПУБЛИКОВАНИЕ
Постановление Правительства Санкт-Петербурга от 09.08.2023 № 832
"О внесении изменений в постановление Правительства Санкт-Петербурга от 30.06.2014 № 553"
Номер опубликования: 7800202308140004
Дата опубликования: 14.08.2023
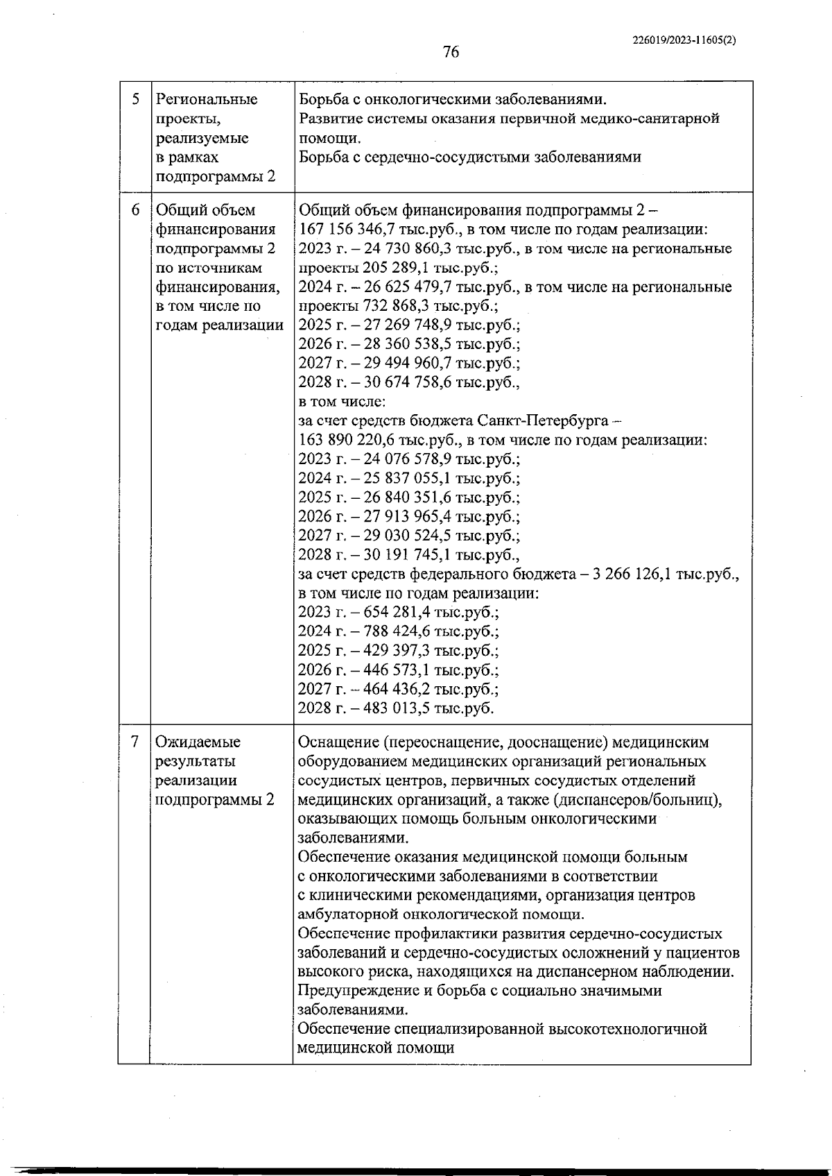
Страница №77 из 154:
Увеличить