Официальное опубликование правовых актов
ОФИЦИАЛЬНОЕ ОПУБЛИКОВАНИЕ
Постановление Правительства Санкт-Петербурга от 09.08.2023 № 840
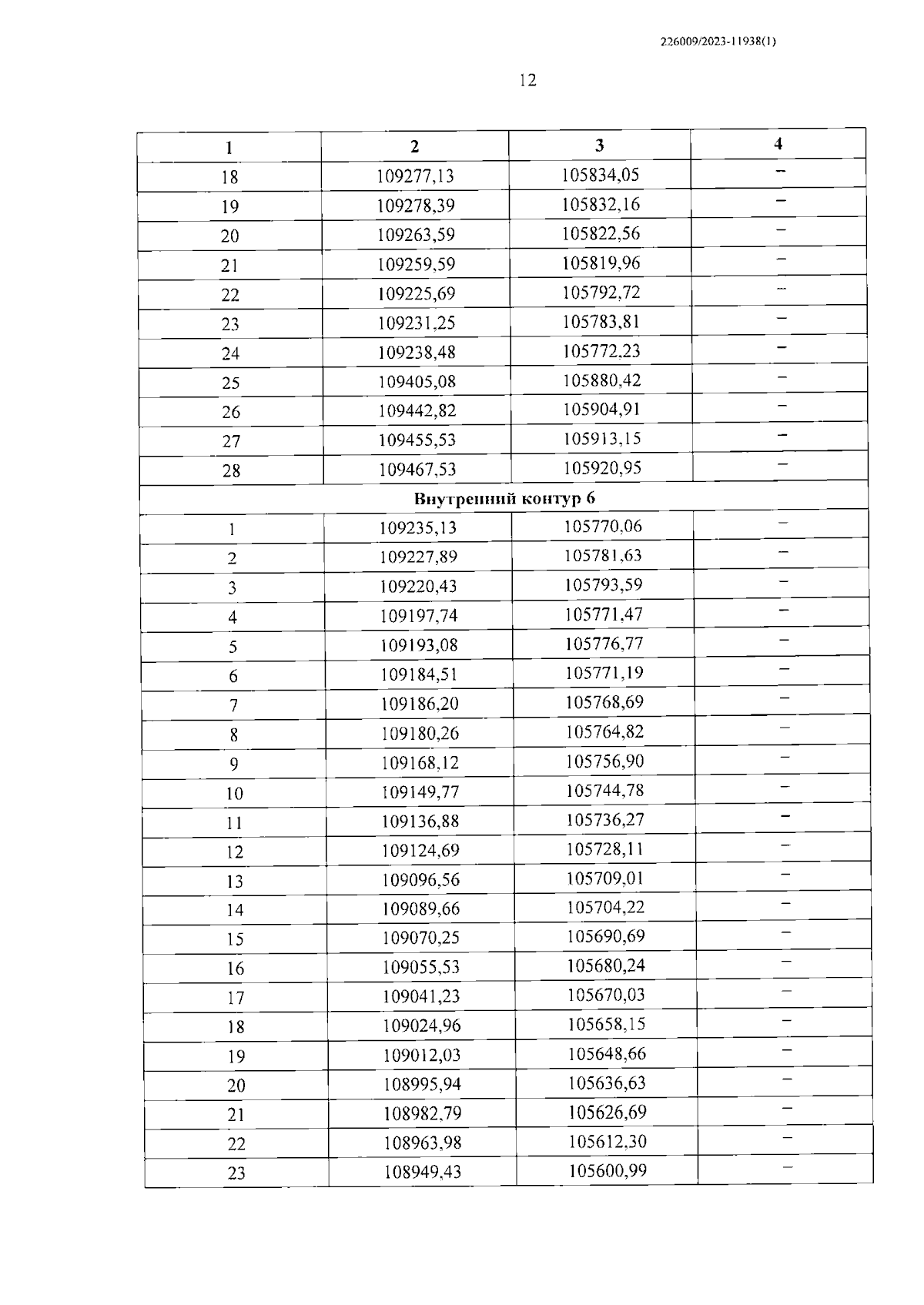
"Об утверждении проекта планировки с проектом межевания территории для размещения линейного объекта регионального значения "Примыкания к автомобильной дороге общего пользования федерального значения А-118 кольцевой автомобильной дороге вокруг Санкт-Петербурга (КАД) в районе км 12+000 внешней стороны КАД, км 11+900 внутренней стороны КАД и пересечение КАД путепроводом в районе км 12+430 в составе автомобильной дороги от аэропортового комплекса на аэродроме "Левашово" - 4-й этап строительства"
Номер опубликования: 7800202308140001
Дата опубликования: 14.08.2023
Страница №30 из 58:
Увеличить