Официальное опубликование правовых актов
ОФИЦИАЛЬНОЕ ОПУБЛИКОВАНИЕ
Постановление Правительства Санкт-Петербурга от 03.08.2023 № 809
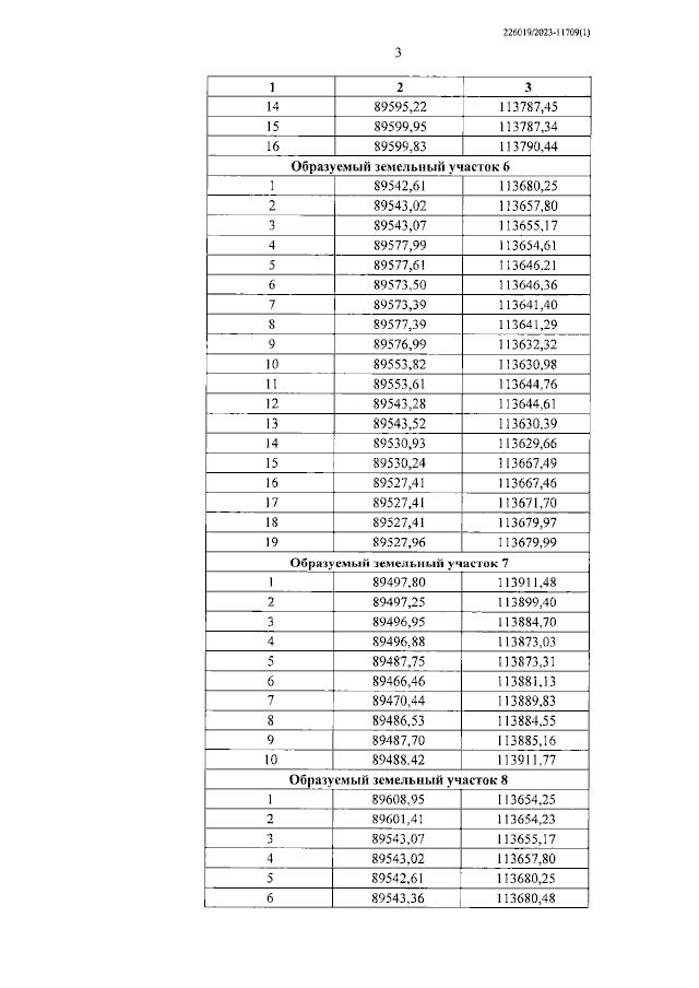
"О внесении изменений в постановление Правительства Санкт-Петербурга от 17.07.2007 №864 и утверждении проекта межевания территории, ограниченной Московским пр., Детским пер., Парфеновской ул., Ташкентской ул., в Московском районе"
Номер опубликования: 7800202308100003
Дата опубликования: 10.08.2023
Страница №18 из 19:
Увеличить