Официальное опубликование правовых актов
ОФИЦИАЛЬНОЕ ОПУБЛИКОВАНИЕ
Постановление Правительства Санкт-Петербурга от 25.07.2023 № 779
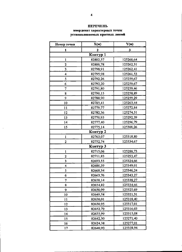
"Об утверждении проекта планировки с проектом межевания территории для размещения линейных объектов регионального значения "Советский пр. от пер.Слепушкина до перспективной Южной широтной магистрали", "Участок трамвайной линии от станции метро "Рыбацкое" до г.Колпино"
Номер опубликования: 7800202308010001
Дата опубликования: 01.08.2023
Страница №6 из 38:
Увеличить