Официальное опубликование правовых актов
ОФИЦИАЛЬНОЕ ОПУБЛИКОВАНИЕ
Постановление Правительства Санкт-Петербурга от 20.05.2016 № 402
"О внесении изменений в постановление Правительства Санкт-Петербурга от 17.06.2014 № 489"
Номер опубликования: 7800201605250013
Дата опубликования: 25.05.2016
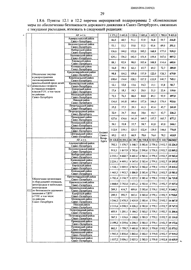
Страница №29 из 53:
Увеличить