Официальное опубликование правовых актов
ОФИЦИАЛЬНОЕ ОПУБЛИКОВАНИЕ
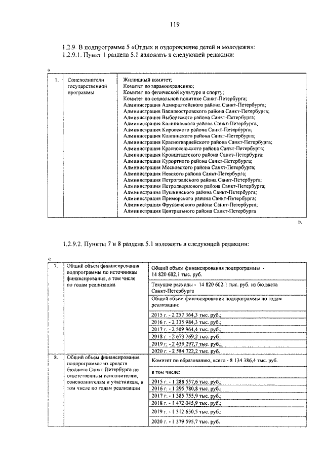
Постановление Правительства Санкт-Петербурга от 23.03.2016 № 177
"О внесении изменений в постановление Правительства Санкт-Петербурга от 04.06.2014 № 453"
Номер опубликования: 7800201603250003
Дата опубликования: 25.03.2016
Страница №119 из 152:
Увеличить