Официальное опубликование правовых актов
ОФИЦИАЛЬНОЕ ОПУБЛИКОВАНИЕ
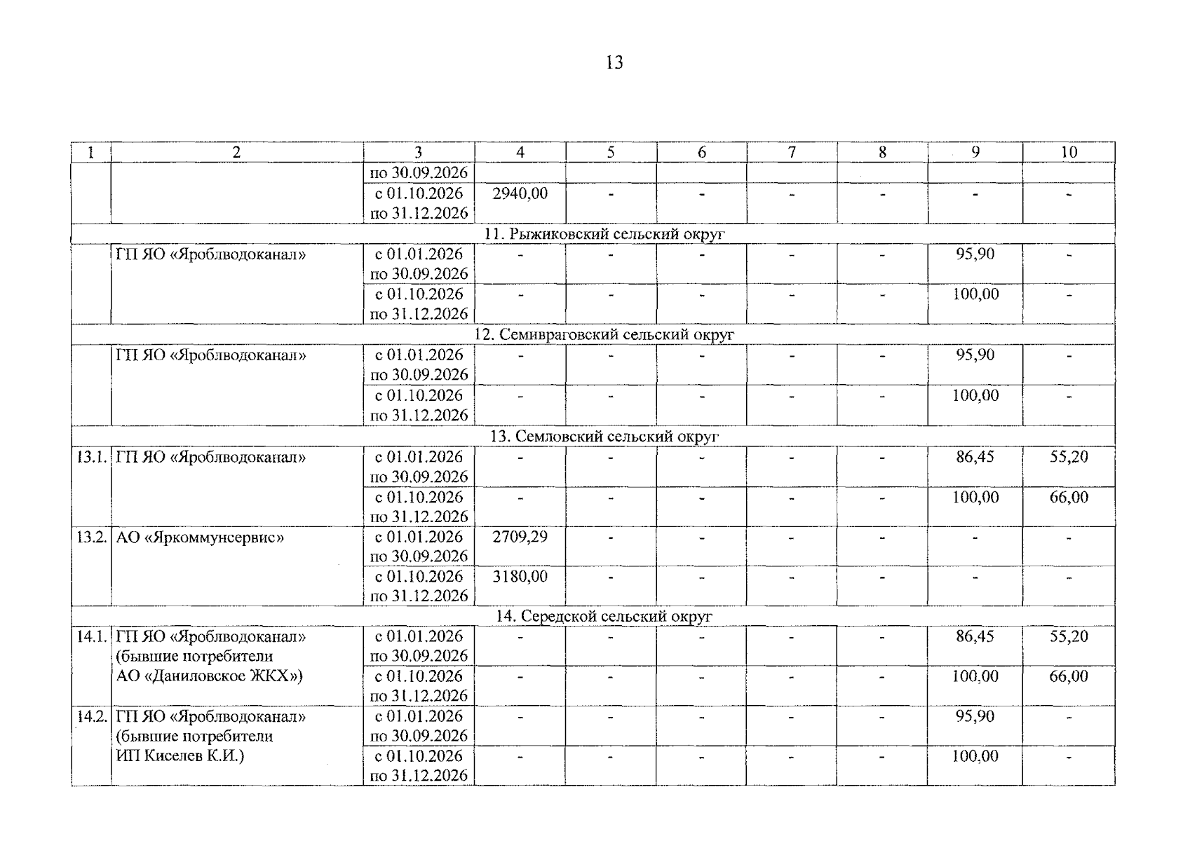
Приказ министерства тарифного регулирования Ярославской области от 18.12.2025 № 380-лт
"Об установлении льготных тарифов на тепловую энергию, холодную (питьевую) воду, горячее водоснабжение и водоотведение на 2026 год"
(Зарегистрирован 19.12.2025 № 43-17087)
Номер опубликования: 7601202512220004
Дата опубликования: 22.12.2025
Страница №14 из 56:
Увеличить