Официальное опубликование правовых актов
ОФИЦИАЛЬНОЕ ОПУБЛИКОВАНИЕ
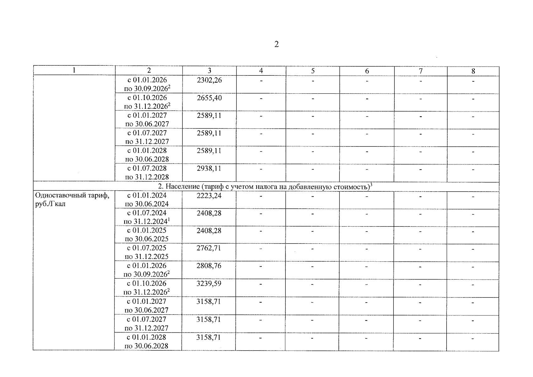
Приказ министерства тарифного регулирования Ярославской области от 16.12.2025 № 276-ви
"О внесении изменений в приказ министерства тарифного регулирования Ярославской области от 15.12.2023 № 311-тэ"
(Зарегистрирован 17.12.2025 № 43-16971)
Номер опубликования: 7601202512170043
Дата опубликования: 17.12.2025
Страница №8 из 17:
Увеличить