Официальное опубликование правовых актов
ОФИЦИАЛЬНОЕ ОПУБЛИКОВАНИЕ
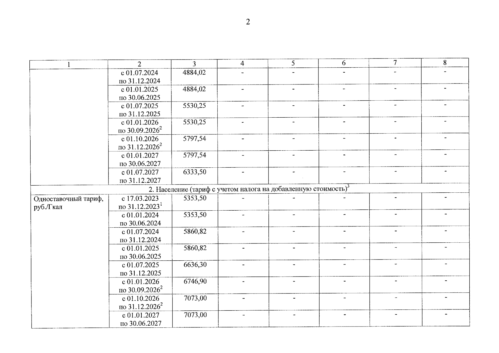
Приказ министерства тарифного регулирования Ярославской области от 16.12.2025 № 256-ви
"О внесении изменений в приказ департамента регулирования тарифов Ярославской области от 16.03.2023 № 16-тэ"
(Зарегистрирован 16.12.2025 № 43-16941)
Номер опубликования: 7601202512170001
Дата опубликования: 17.12.2025
Страница №4 из 14:
Увеличить