Официальное опубликование правовых актов
ОФИЦИАЛЬНОЕ ОПУБЛИКОВАНИЕ
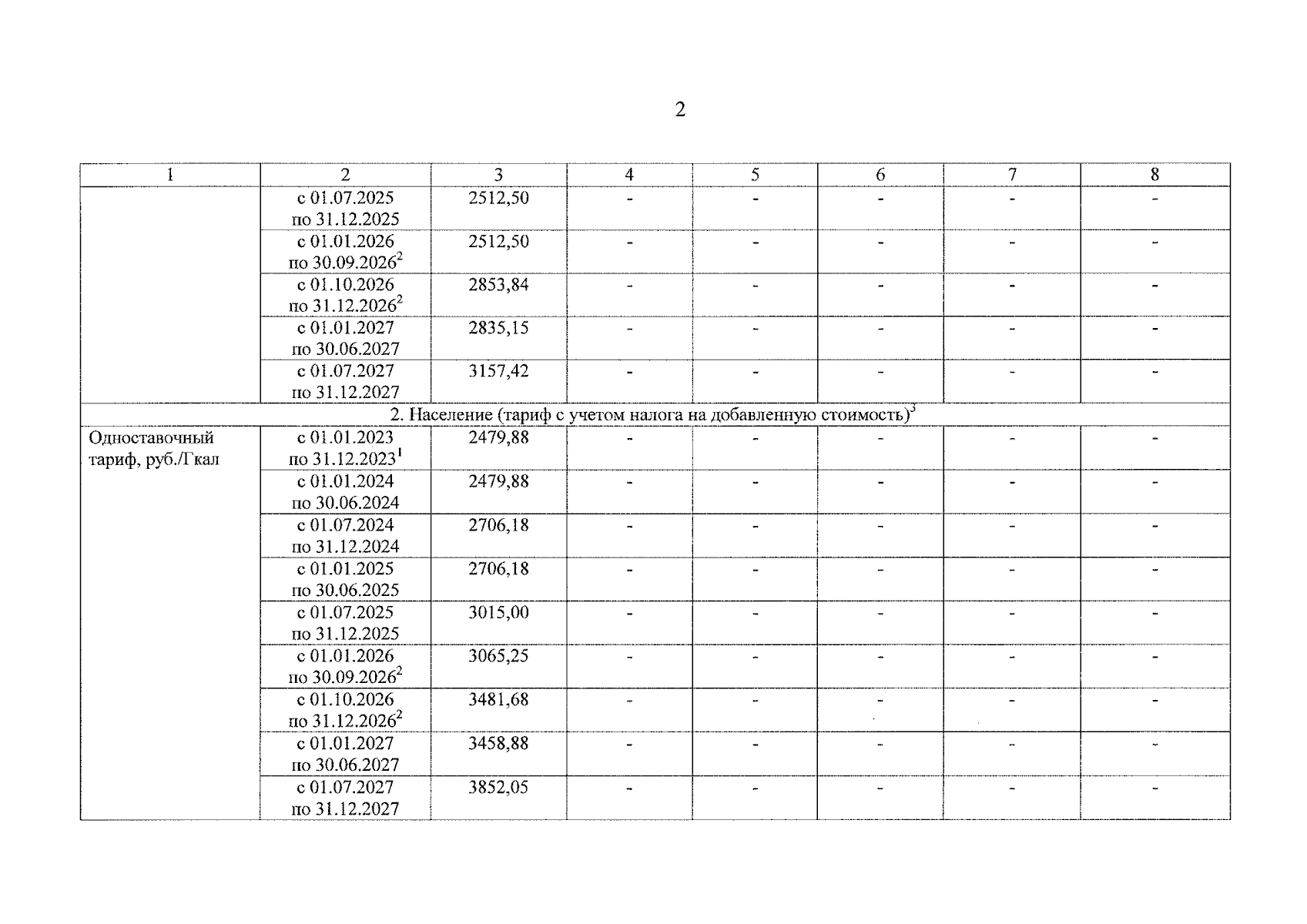
Приказ министерства тарифного регулирования Ярославской области от 15.12.2025 № 240-ви
"О внесении изменений в приказ департамента регулирования тарифов Ярославской области от 18.11.2022 № 252-тэ"
(Зарегистрирован 15.12.2025 № 43-16910)
Номер опубликования: 7601202512160012
Дата опубликования: 16.12.2025
Страница №6 из 7:
Увеличить