Официальное опубликование правовых актов
ОФИЦИАЛЬНОЕ ОПУБЛИКОВАНИЕ
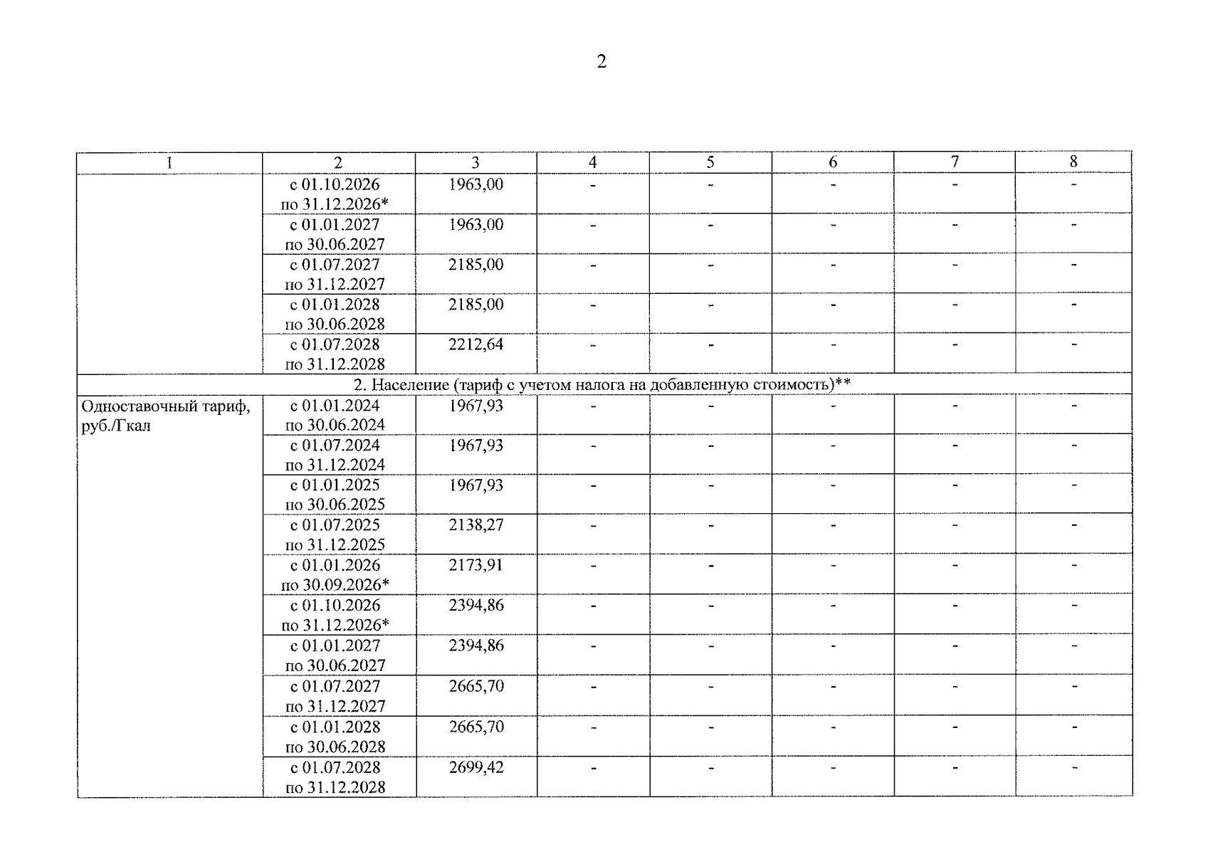
Приказ министерства тарифного регулирования Ярославской области от 15.12.2025 № 231-ви
"О внесении изменения в приказ министерства тарифного регулирования Ярославской области от 12.12.2023 № 267-тэ"
(Зарегистрирован 15.12.2025 № 43-16901)
Номер опубликования: 7601202512160003
Дата опубликования: 16.12.2025
Страница №3 из 4:
Увеличить