Официальное опубликование правовых актов
ОФИЦИАЛЬНОЕ ОПУБЛИКОВАНИЕ
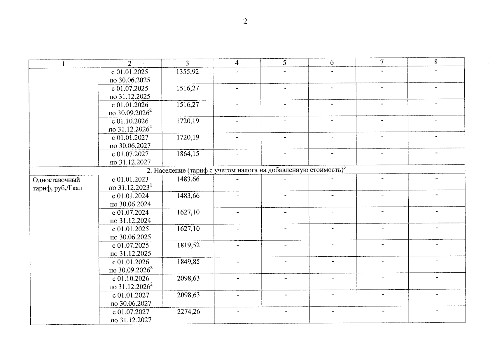
Приказ министерства тарифного регулирования Ярославской области от 11.12.2025 № 206-ви
"О внесении изменения в приказ департамента регулирования тарифов Ярославской области от 16.11.2022 № 83-тэ"
(Зарегистрирован 12.12.2025 № 43-16872)
Номер опубликования: 7601202512150021
Дата опубликования: 15.12.2025
Страница №4 из 5:
Увеличить