Официальное опубликование правовых актов
ОФИЦИАЛЬНОЕ ОПУБЛИКОВАНИЕ
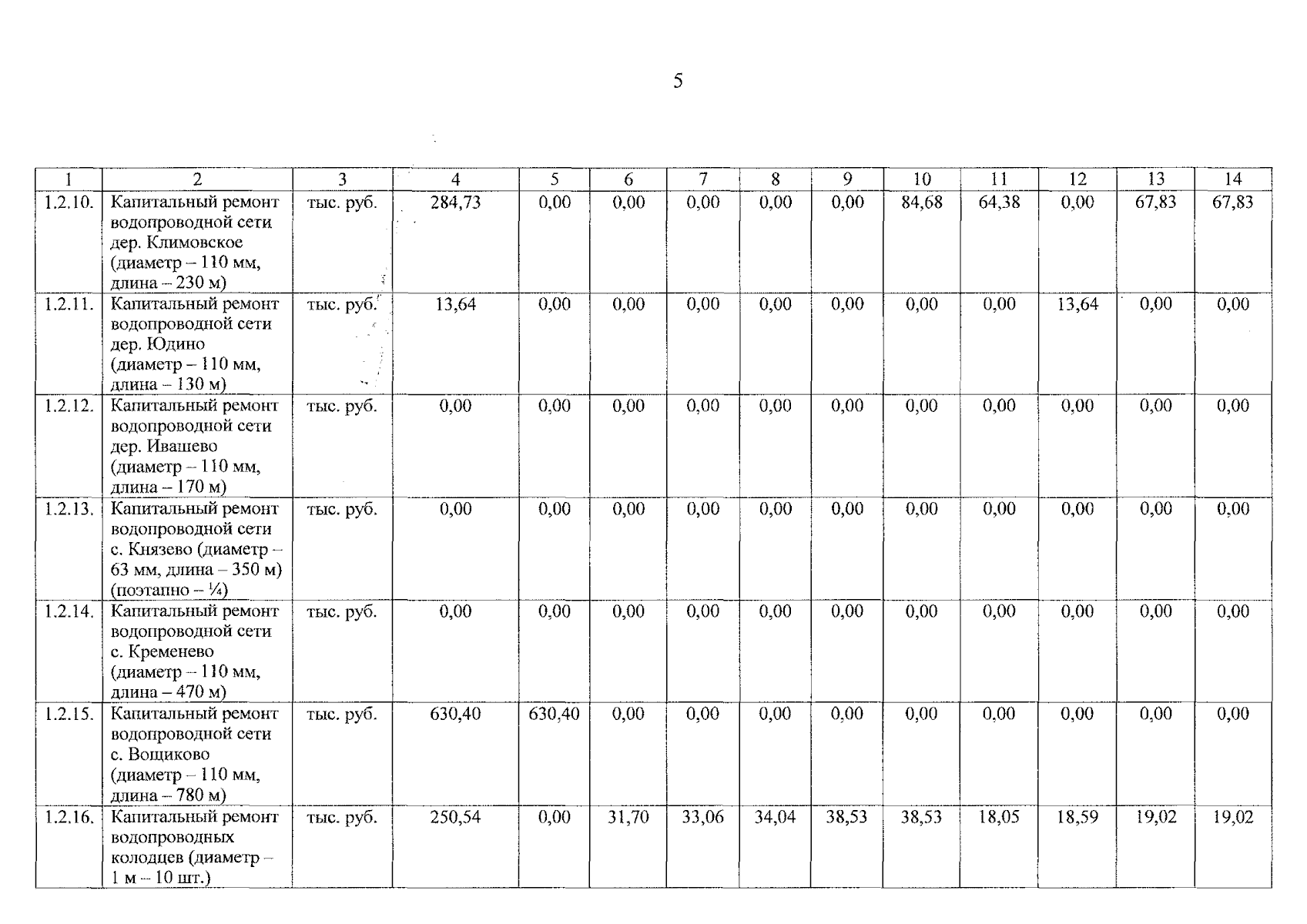
Приказ министерства тарифного регулирования Ярославской области от 11.12.2025 № 211-ви
"О внесении изменений в приказ департамента жилищно-коммунального хозяйства, энергетики и регулирования тарифов Ярославской области от 20.12.2021 № 425-вс/во"
(Зарегистрирован 12.12.2025 № 43-16877)
Номер опубликования: 7601202512150018
Дата опубликования: 15.12.2025
Страница №9 из 13:
Увеличить