Официальное опубликование правовых актов
ОФИЦИАЛЬНОЕ ОПУБЛИКОВАНИЕ
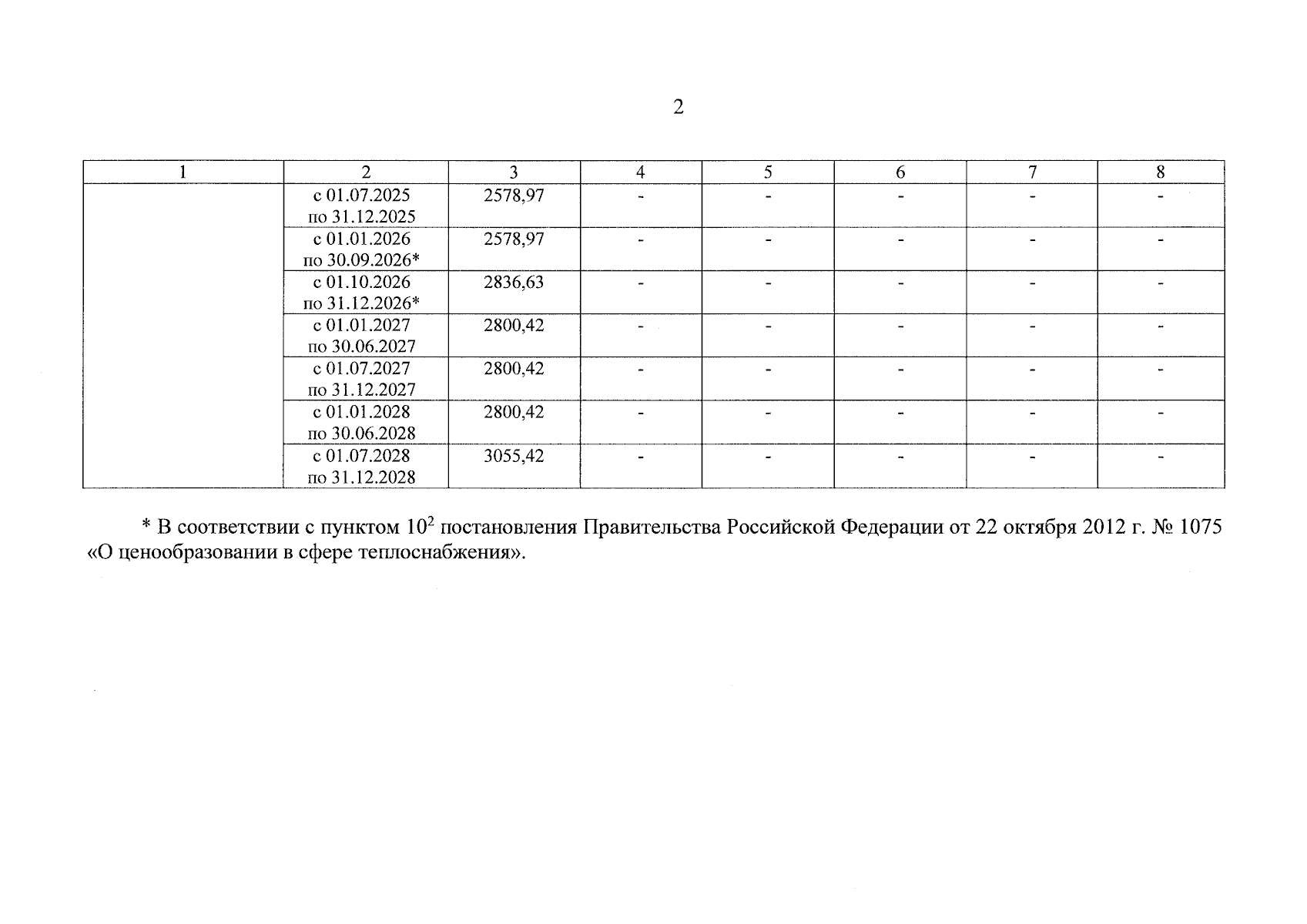
Приказ министерства тарифного регулирования Ярославской области от 10.12.2025 № 157-ви
"О внесении изменения в приказ министерства тарифного регулирования Ярославской области от 05.12.2023 № 243-тэ"
(Зарегистрирован 11.12.2025 № 43-16820)
Номер опубликования: 7601202512120014
Дата опубликования: 12.12.2025
Страница №4 из 4:
Увеличить