Официальное опубликование правовых актов
ОФИЦИАЛЬНОЕ ОПУБЛИКОВАНИЕ
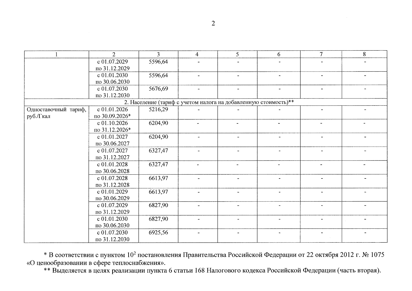
Приказ министерства тарифного регулирования Ярославской области от 10.12.2025 № 166-тэ
"Об установлении тарифов на тепловую энергию, поставляемую потребителям федеральным государственным бюджетным учреждением "Центральное жилищно-коммунальное управление" Министерства обороны Российской Федерации (на территории Ярославской области), на 2026 – 2030 годы"
(Зарегистрирован 11.12.2025 № 43-16829)
Номер опубликования: 7601202512120005
Дата опубликования: 12.12.2025
Страница №4 из 6:
Увеличить