Официальное опубликование правовых актов
ОФИЦИАЛЬНОЕ ОПУБЛИКОВАНИЕ
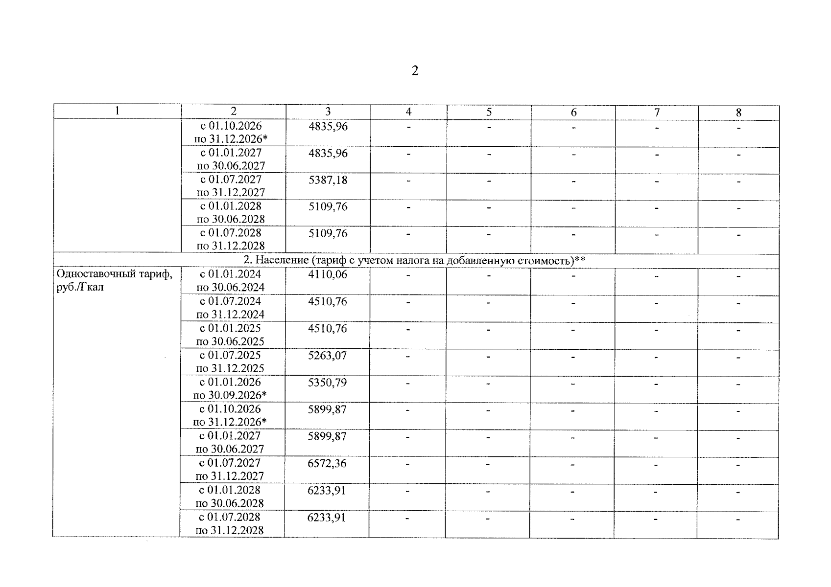
Приказ министерства тарифного регулирования Ярославской области от 09.12.2025 № 150-ви
"О внесении изменения в приказ министерства тарифного регулирования Ярославской области от 18.12.2023 № 343-тэ"
(Зарегистрирован 10.12.2025 № 43-16810)
Номер опубликования: 7601202512110014
Дата опубликования: 11.12.2025
Страница №3 из 4:
Увеличить