Официальное опубликование правовых актов
ОФИЦИАЛЬНОЕ ОПУБЛИКОВАНИЕ
Приказ министерства лесного хозяйства и природопользования Ярославской области от 21.08.2025 № 18-н
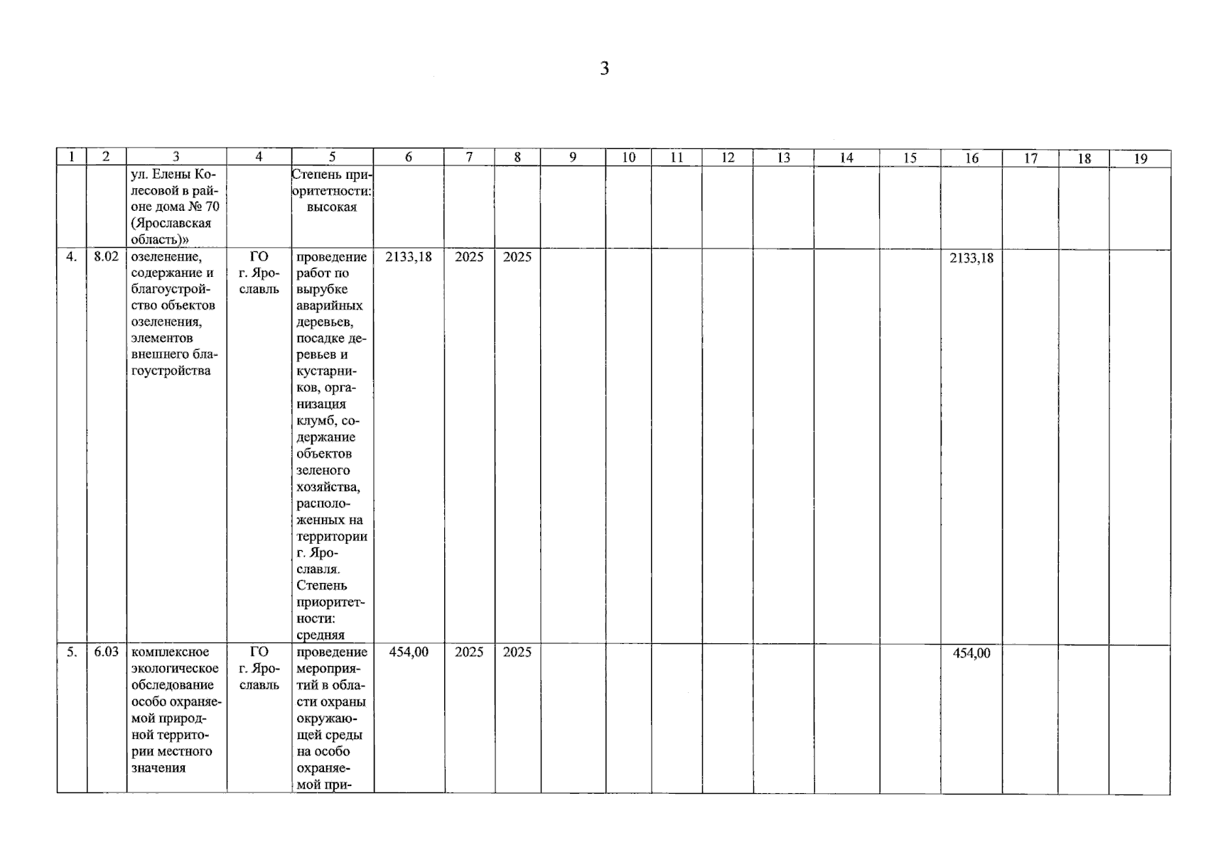
"Об утверждении плана мероприятий, указанных в пункте 1 статьи 16.6, пункте 1 статьи 75.1 и пункте 1 статьи 78.2 Федерального закона "Об охране окружающей среды", Ярославской области и о признании утратившим силу приказа департамента охраны окружающей среды и природопользования Ярославской области от 02.08.2024 № 23-н"
(Зарегистрирован 09.09.2025 № 44-16531)
Номер опубликования: 7601202509100002
Дата опубликования: 10.09.2025
Страница №5 из 30:
Увеличить