Официальное опубликование правовых актов
ОФИЦИАЛЬНОЕ ОПУБЛИКОВАНИЕ
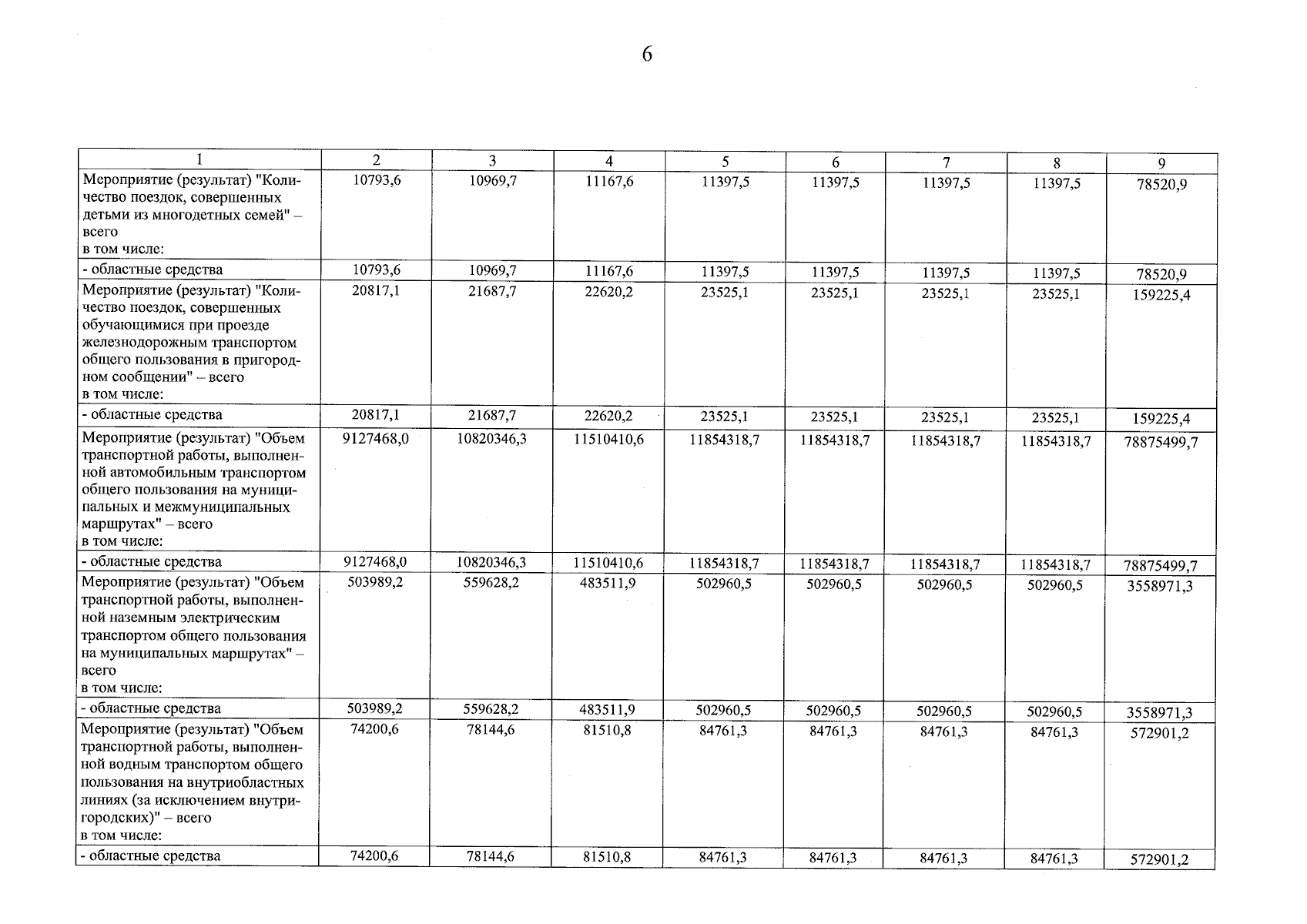
Приказ министерства дорожного хозяйства и транспорта Ярославской области от 27.12.2024 № 11
"О внесении изменений в приказ министерства транспорта Ярославской области от 26.03.2024 № 1"
(Зарегистрирован 27.02.2025 № 40-16034)
Номер опубликования: 7601202503070001
Дата опубликования: 07.03.2025
Страница №7 из 16:
Увеличить