Приказ министерства тарифного регулирования Ярославской области от 17.01.2025 № 8-ви
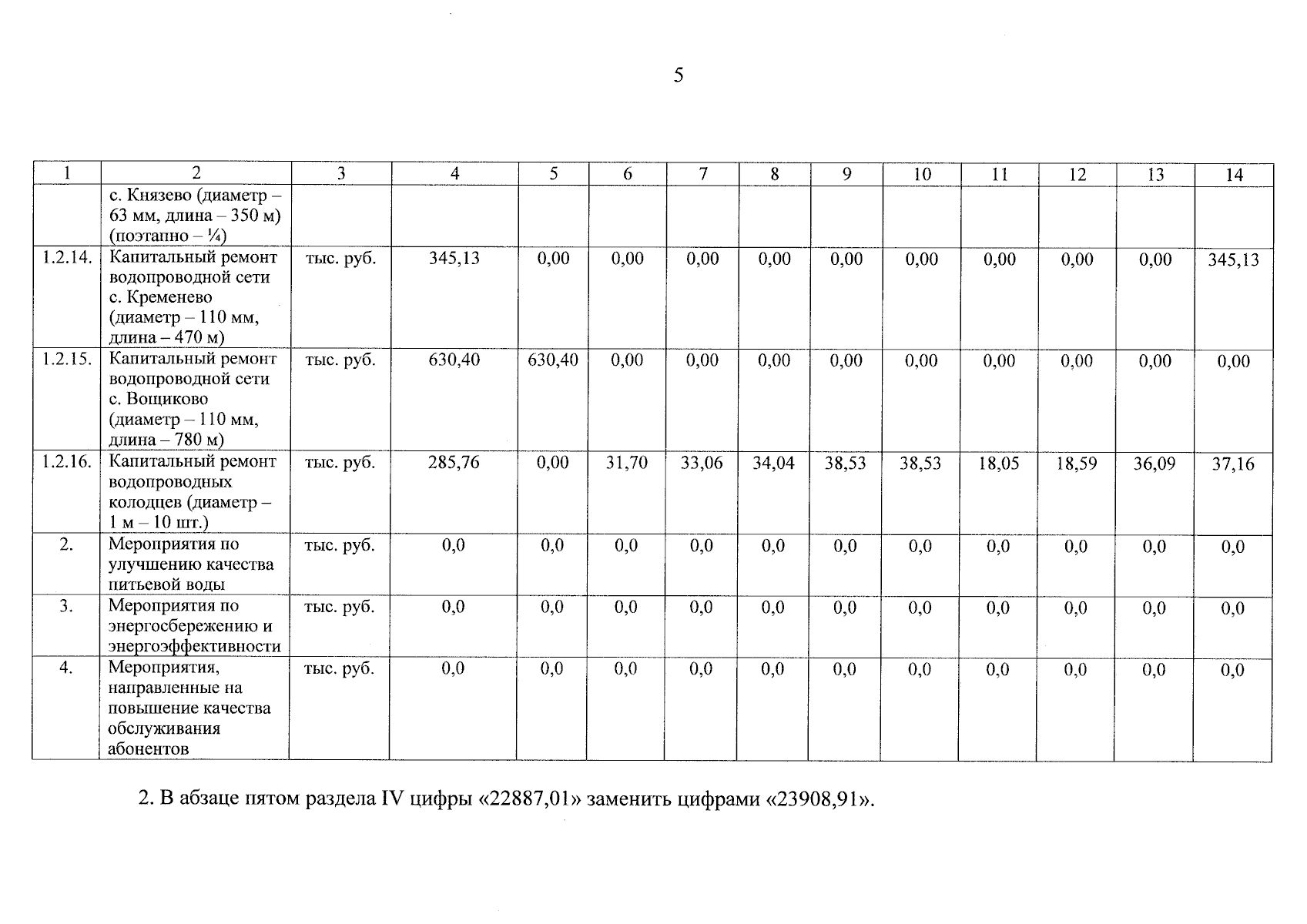
"О внесении изменений в приказ департамента жилищно-коммунального хозяйства, энергетики и регулирования тарифов Ярославской области от 20.12.2021 № 425-вс/во"
(Зарегистрирован 20.01.2025 № 43-15880)
"О внесении изменений в приказ департамента жилищно-коммунального хозяйства, энергетики и регулирования тарифов Ярославской области от 20.12.2021 № 425-вс/во"
(Зарегистрирован 20.01.2025 № 43-15880)
Номер опубликования: 7601202501200010
Дата опубликования:
20.01.2025
