Официальное опубликование правовых актов
ОФИЦИАЛЬНОЕ ОПУБЛИКОВАНИЕ
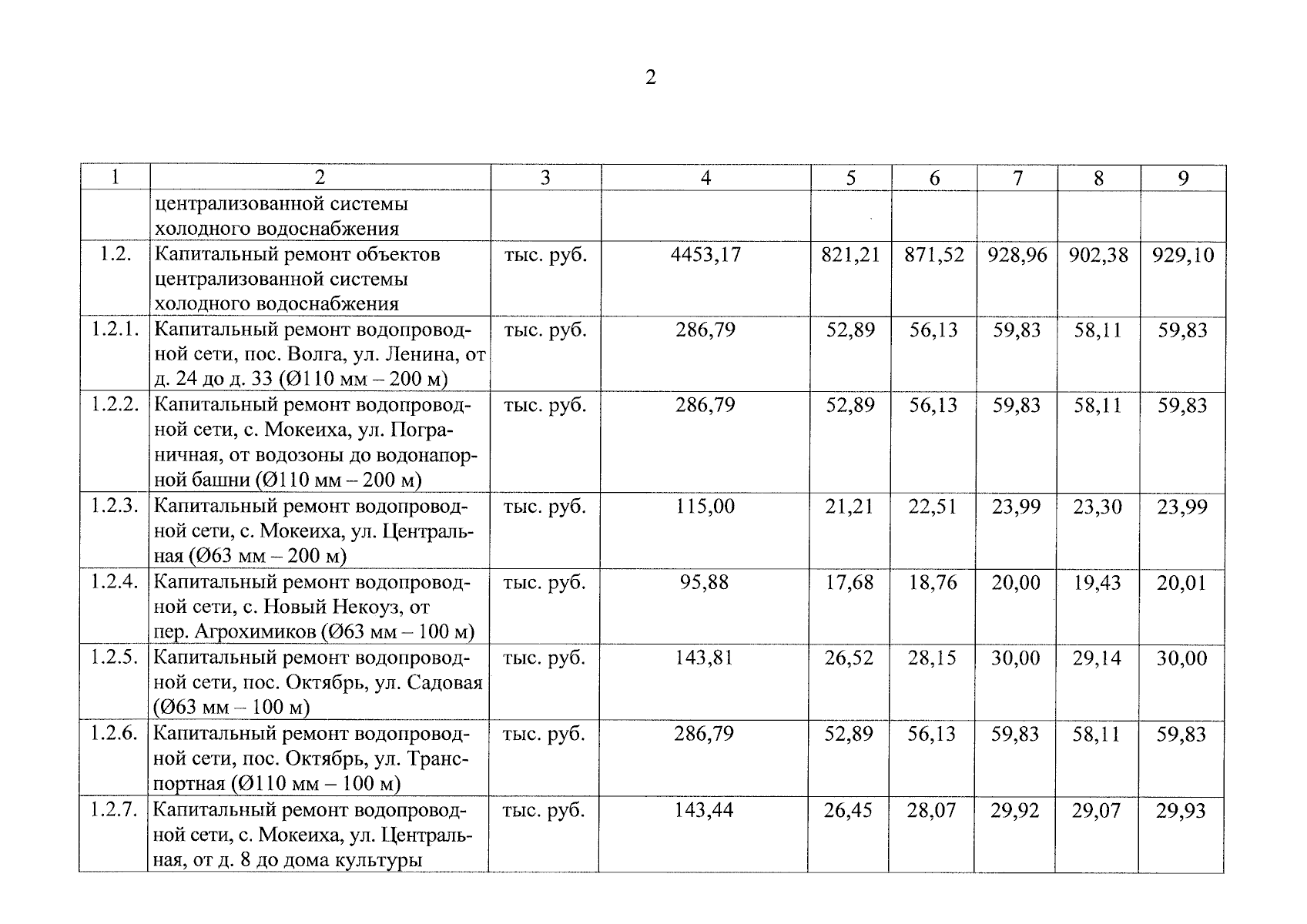
Приказ министерства тарифного регулирования Ярославской области от 17.01.2025 № 11-ви
"О внесении изменений в приказ департамента регулирования тарифов Ярославской области от 18.11.2022 № 326-вс/во"
(Зарегистрирован 20.01.2025 № 43-15883)
Номер опубликования: 7601202501200004
Дата опубликования: 20.01.2025
Страница №8 из 14:
Увеличить