Официальное опубликование правовых актов
ОФИЦИАЛЬНОЕ ОПУБЛИКОВАНИЕ
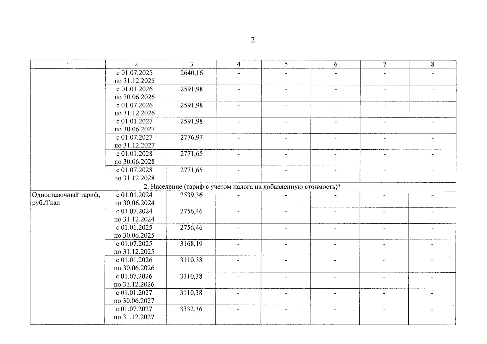
Приказ министерства тарифного регулирования Ярославской области от 18.12.2024 № 383-ви
"О внесении изменений в приказ министерства тарифного регулирования Ярославской области от 19.12.2023 № 373-тэ"
(Зарегистрирован 19.12.2024 № 43-15738)
Номер опубликования: 7601202412200012
Дата опубликования: 20.12.2024
Страница №8 из 9:
Увеличить