Официальное опубликование правовых актов
ОФИЦИАЛЬНОЕ ОПУБЛИКОВАНИЕ
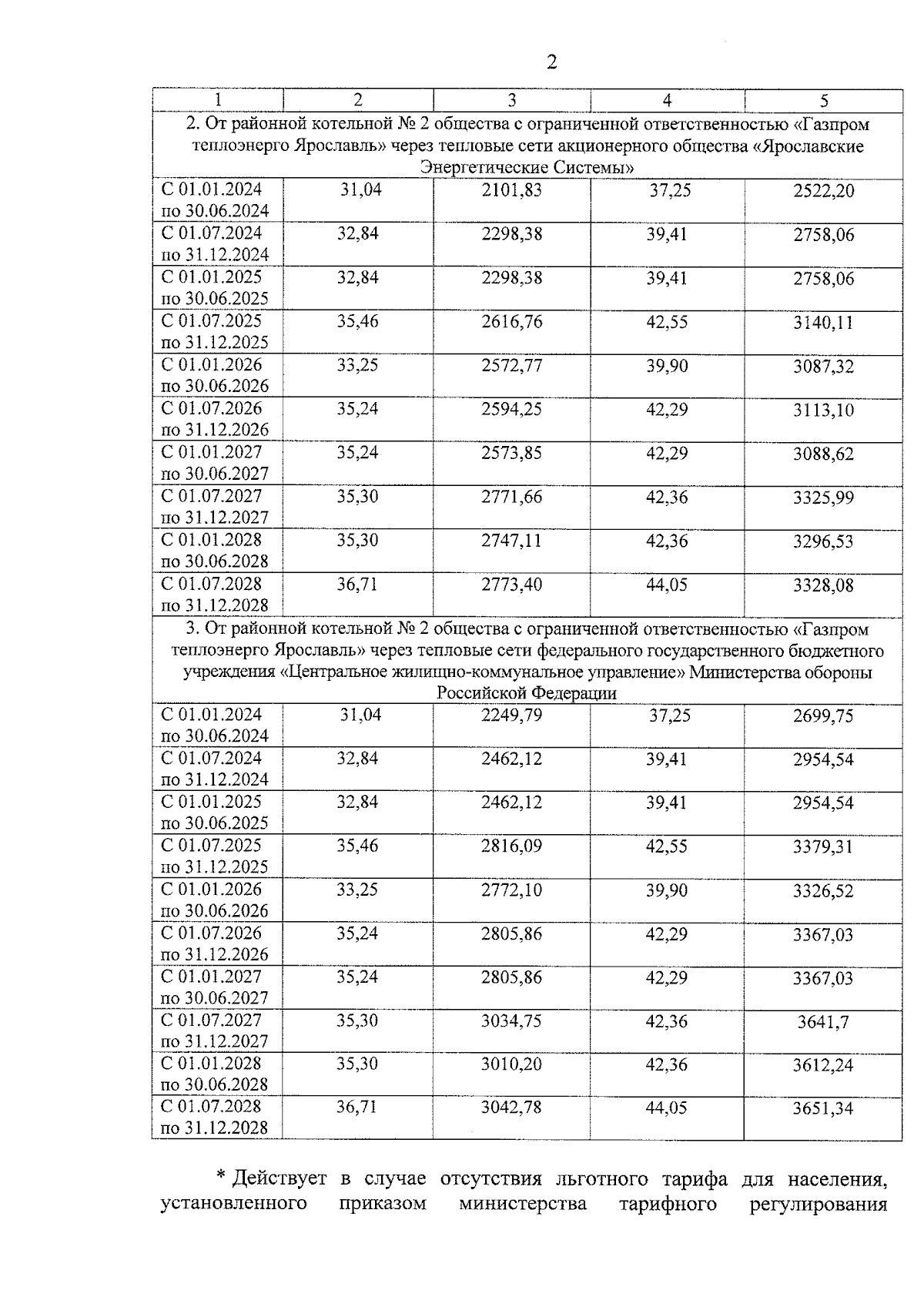
Приказ министерства тарифного регулирования Ярославской области от 18.12.2024 № 393-ви
"О внесении изменений в приказ министерства тарифного регулирования Ярославской области от 19.12.2023 № 405-г/вс"
(Зарегистрирован 19.12.2024 № 43-15744)
Номер опубликования: 7601202412200004
Дата опубликования: 20.12.2024
Страница №4 из 10:
Увеличить