Официальное опубликование правовых актов
ОФИЦИАЛЬНОЕ ОПУБЛИКОВАНИЕ
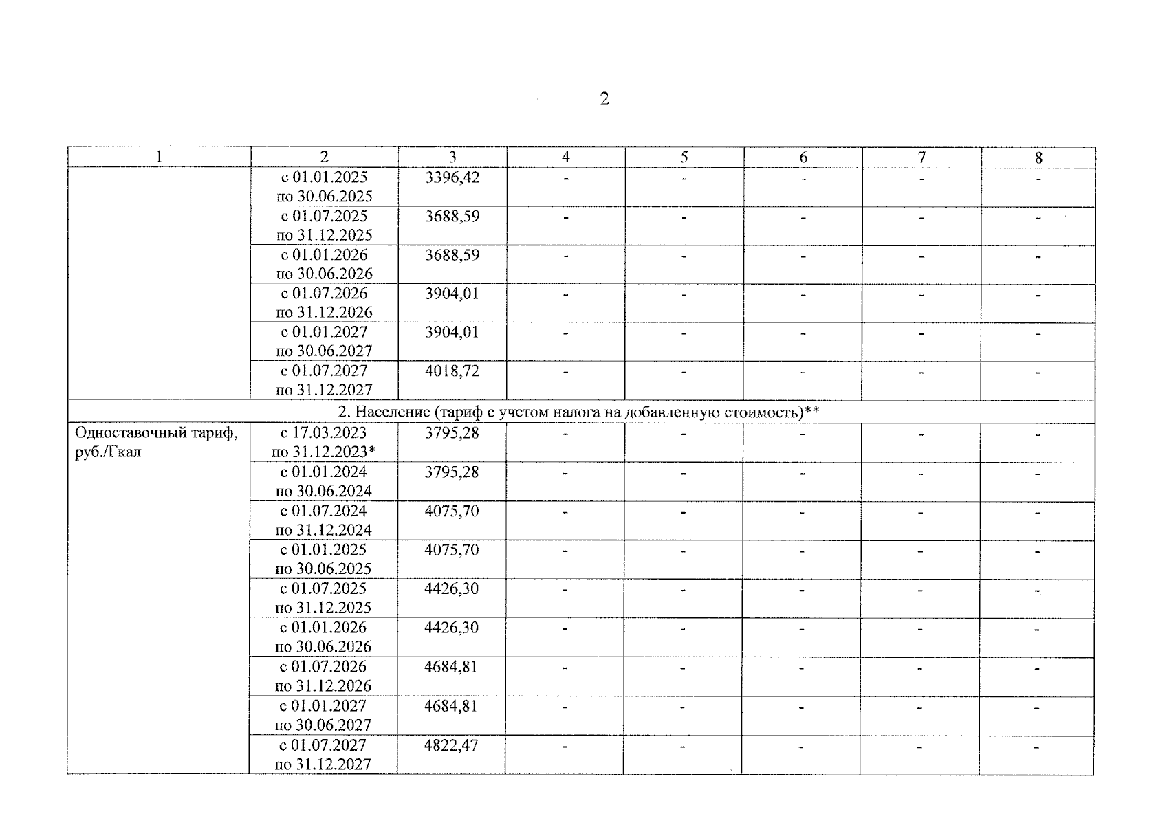
Приказ министерства тарифного регулирования Ярославской области от 17.12.2024 № 329-ви
"О внесении изменений в приказ департамента регулирования тарифов Ярославской области от 16.03.2023 № 16-тэ"
(Зарегистрирован 18.12.2024 № 43-15681)
Номер опубликования: 7601202412180016
Дата опубликования: 18.12.2024
Страница №13 из 14:
Увеличить