Официальное опубликование правовых актов
ОФИЦИАЛЬНОЕ ОПУБЛИКОВАНИЕ
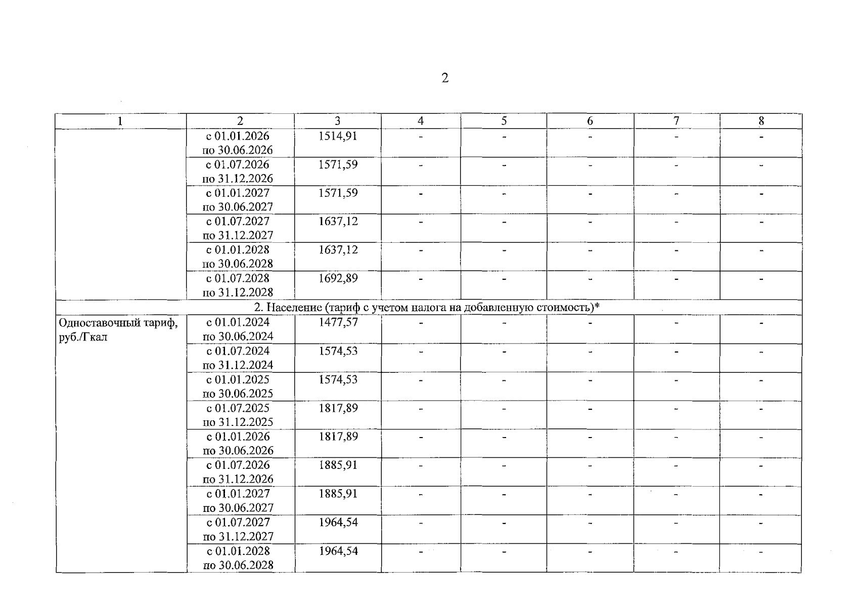
Приказ министерства тарифного регулирования Ярославской области от 12.12.2024 № 293-ви
"О внесении изменений в приказ министерства тарифного регулирования Ярославской области от 19.12.2023 № 374-тэ"
(Зарегистрирован 13.12.2024 № 43-15629)
Номер опубликования: 7601202412170030
Дата опубликования: 17.12.2024
Страница №6 из 7:
Увеличить