Официальное опубликование правовых актов
ОФИЦИАЛЬНОЕ ОПУБЛИКОВАНИЕ
Приказ министерства тарифного регулирования Ярославской области от 11.12.2024 № 280-тэ
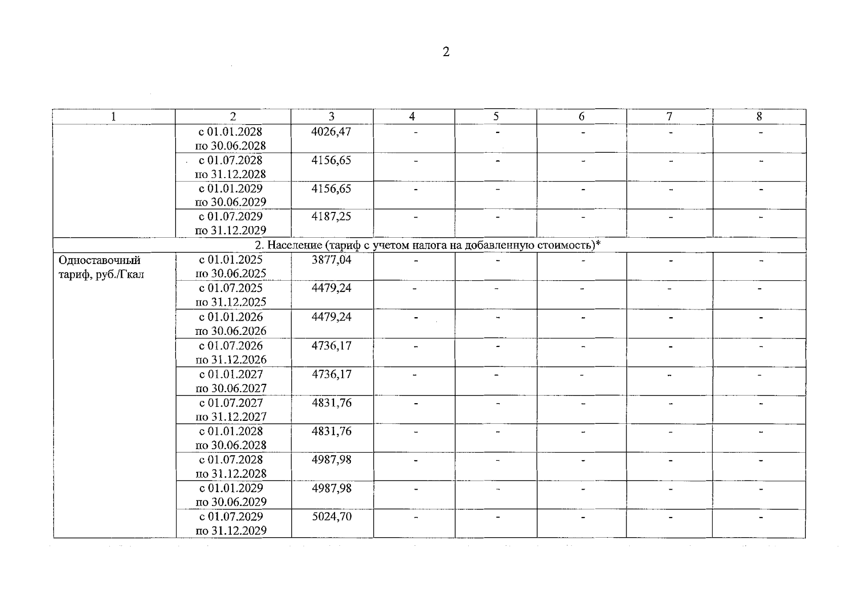
"Об установлении тарифов на тепловую энергию, поставляемую потребителям акционерным обществом "Яркоммунсервис" (филиал "Волжский"), осуществляющим деятельность на территории Мышкинского муниципального округа Ярославской области и на территории Некоузского муниципального округа (за исключением Октябрьского и Родионовского сельских округов) Ярославской области, на 2025 – 2029 годы"
(Зарегистрирован 13.12.2024 № 43-15616)
Номер опубликования: 7601202412170013
Дата опубликования: 17.12.2024
Страница №4 из 8:
Увеличить