Официальное опубликование правовых актов
ОФИЦИАЛЬНОЕ ОПУБЛИКОВАНИЕ
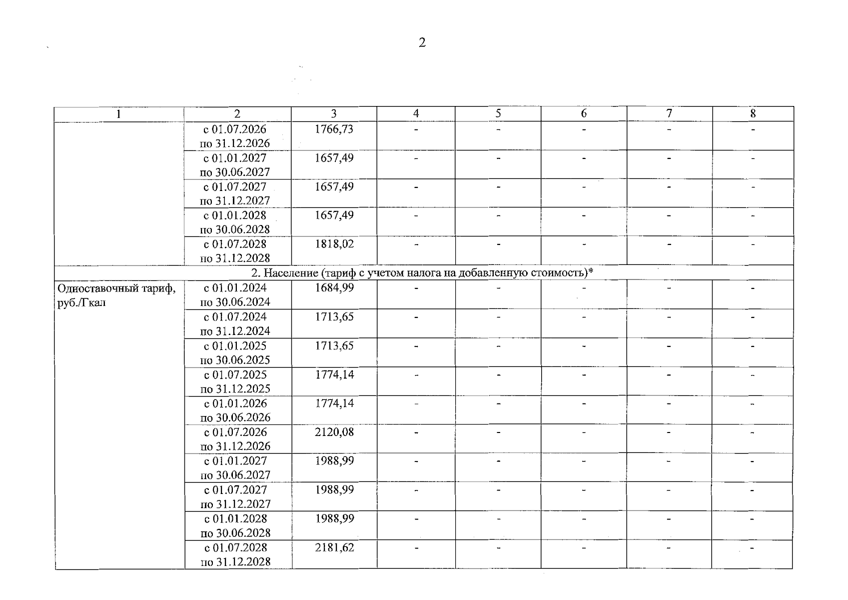
Приказ министерства тарифного регулирования Ярославской области от 11.11.2024 № 154-ви
"О внесении изменений в приказ министерства тарифного регулирования Ярославской области от 20.11.2023 № 180-тэ"
(Зарегистрирован 13.11.2024 № 43-15421)
Номер опубликования: 7601202411190004
Дата опубликования: 19.11.2024
Страница №4 из 5:
Увеличить