Официальное опубликование правовых актов
ОФИЦИАЛЬНОЕ ОПУБЛИКОВАНИЕ
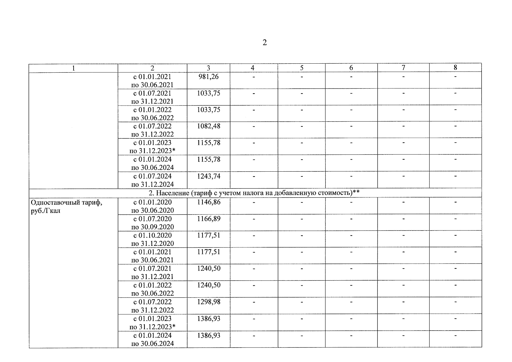
Приказ министерства тарифного регулирования Ярославской области от 19.12.2023 № 399-ви
"О внесении изменений в приказ департамента жилищно-коммунального хозяйства, энергетики и регулирования тарифов Ярославской области от 18.12.2019 № 349-тэ"
(Зарегистрирован 20.12.2023 № 43-14416)
Номер опубликования: 7601202312210075
Дата опубликования: 21.12.2023
Страница №4 из 8:
Увеличить