Официальное опубликование правовых актов
ОФИЦИАЛЬНОЕ ОПУБЛИКОВАНИЕ
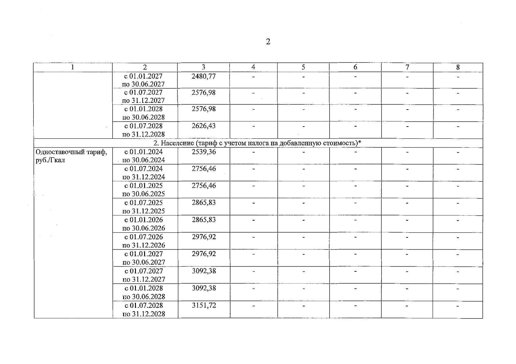
Приказ министерства тарифного регулирования Ярославской области от 19.12.2023 № 373-тэ
"Об установлении тарифов на тепловую энергию, отпускаемую обществом с ограниченной ответственностью "Газпром теплоэнерго Ярославль" (городской округ город Ярославль), на 2024 – 2028 годы"
(Зарегистрирован 19.12.2023 № 43-14350)
Номер опубликования: 7601202312200020
Дата опубликования: 20.12.2023
Страница №8 из 11:
Увеличить