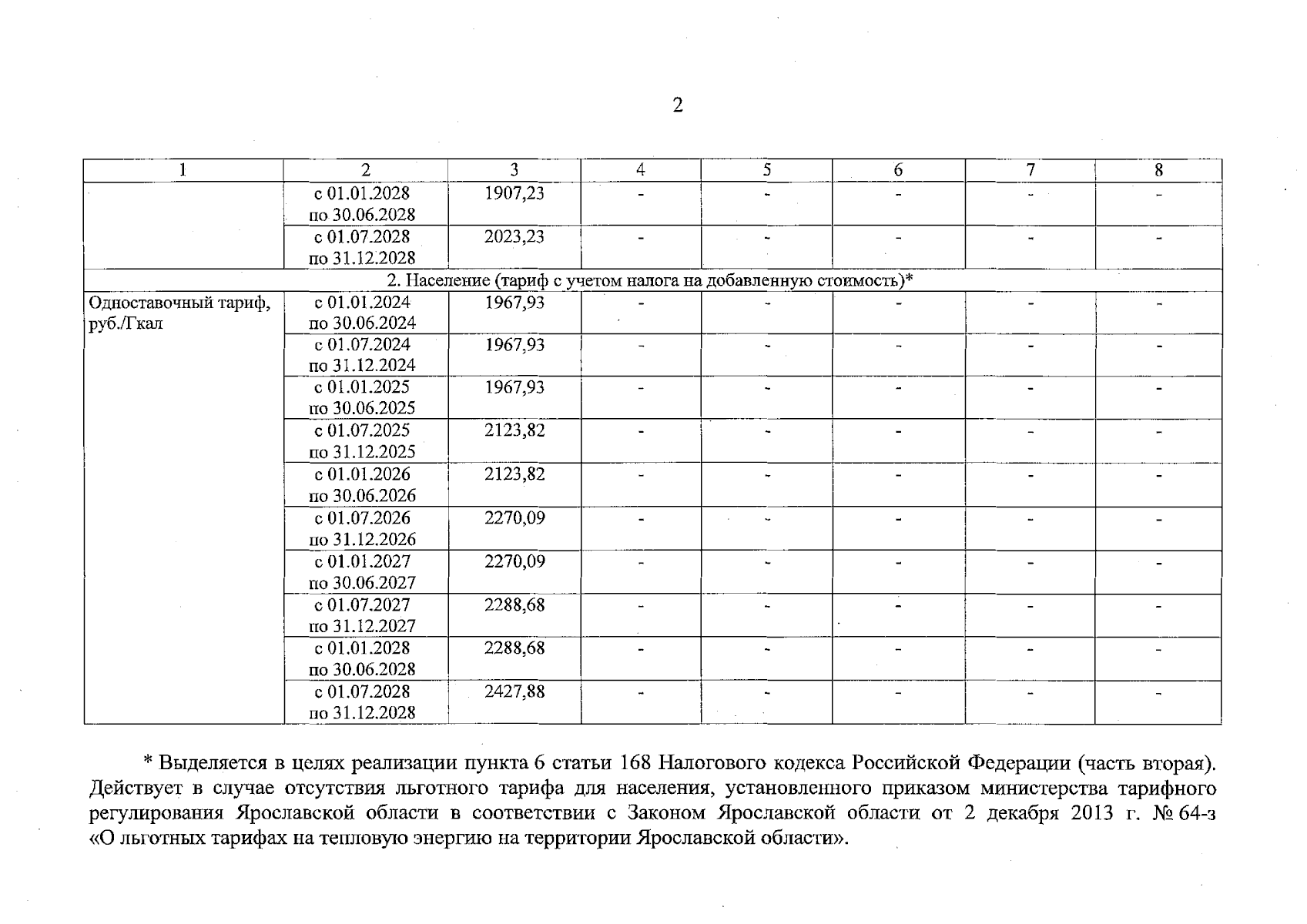
Приказ министерства тарифного регулирования Ярославской области от 12.12.2023 № 267-тэ
"Об установлении тарифов на тепловую энергию, поставляемую потребителям акционерным обществом Консервным заводом "Поречский", на 2024 – 2028 годы"
(Зарегистрирован 14.12.2023 № 43-14232)
"Об установлении тарифов на тепловую энергию, поставляемую потребителям акционерным обществом Консервным заводом "Поречский", на 2024 – 2028 годы"
(Зарегистрирован 14.12.2023 № 43-14232)
Номер опубликования: 7601202312180063
Дата опубликования:
18.12.2023
