Официальное опубликование правовых актов
ОФИЦИАЛЬНОЕ ОПУБЛИКОВАНИЕ
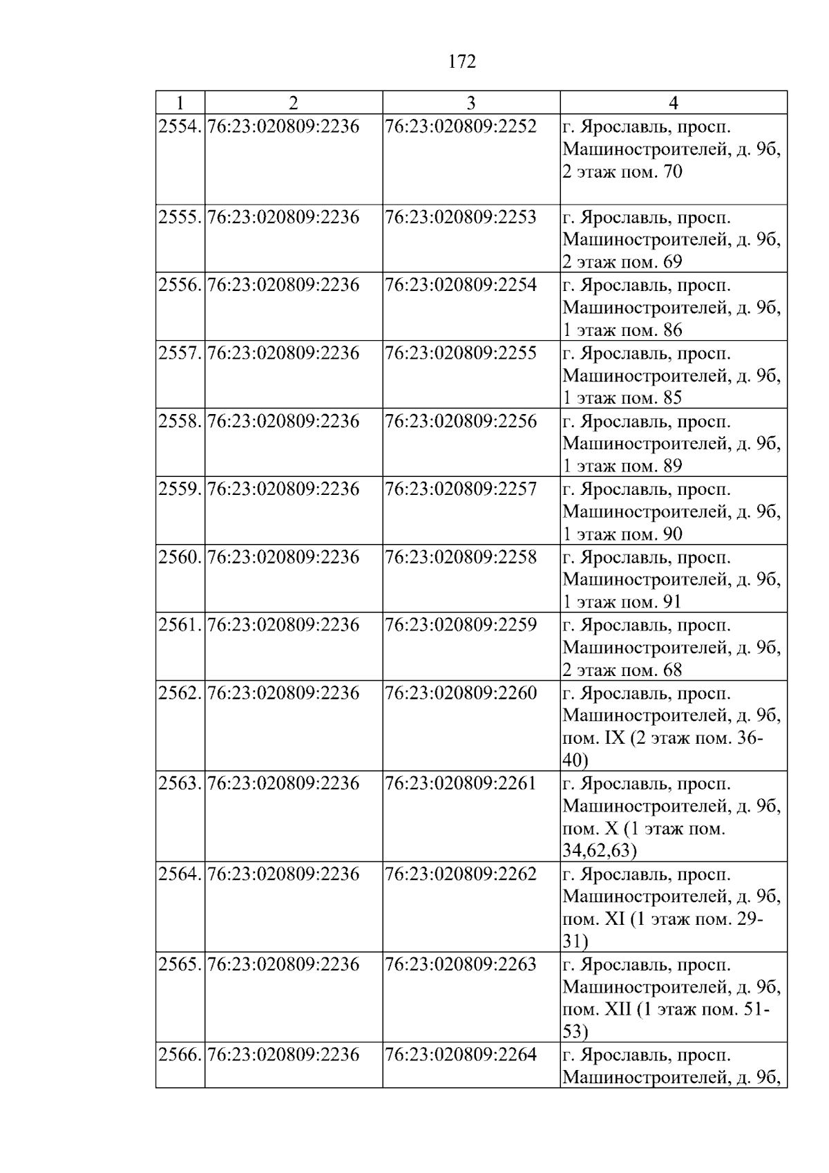
Приказ министерства имущественных отношений Ярославской области от 14.12.2023 № 36-н
"Об утверждении перечня объектов недвижимого имущества, в отношении которых налоговая база определяется как их кадастровая стоимость, на 2024 год"
(Зарегистрирован 14.12.2023 № 16-14204)
Номер опубликования: 7601202312180048
Дата опубликования: 18.12.2023
Страница №173 из 217:
Увеличить