Официальное опубликование правовых актов
ОФИЦИАЛЬНОЕ ОПУБЛИКОВАНИЕ
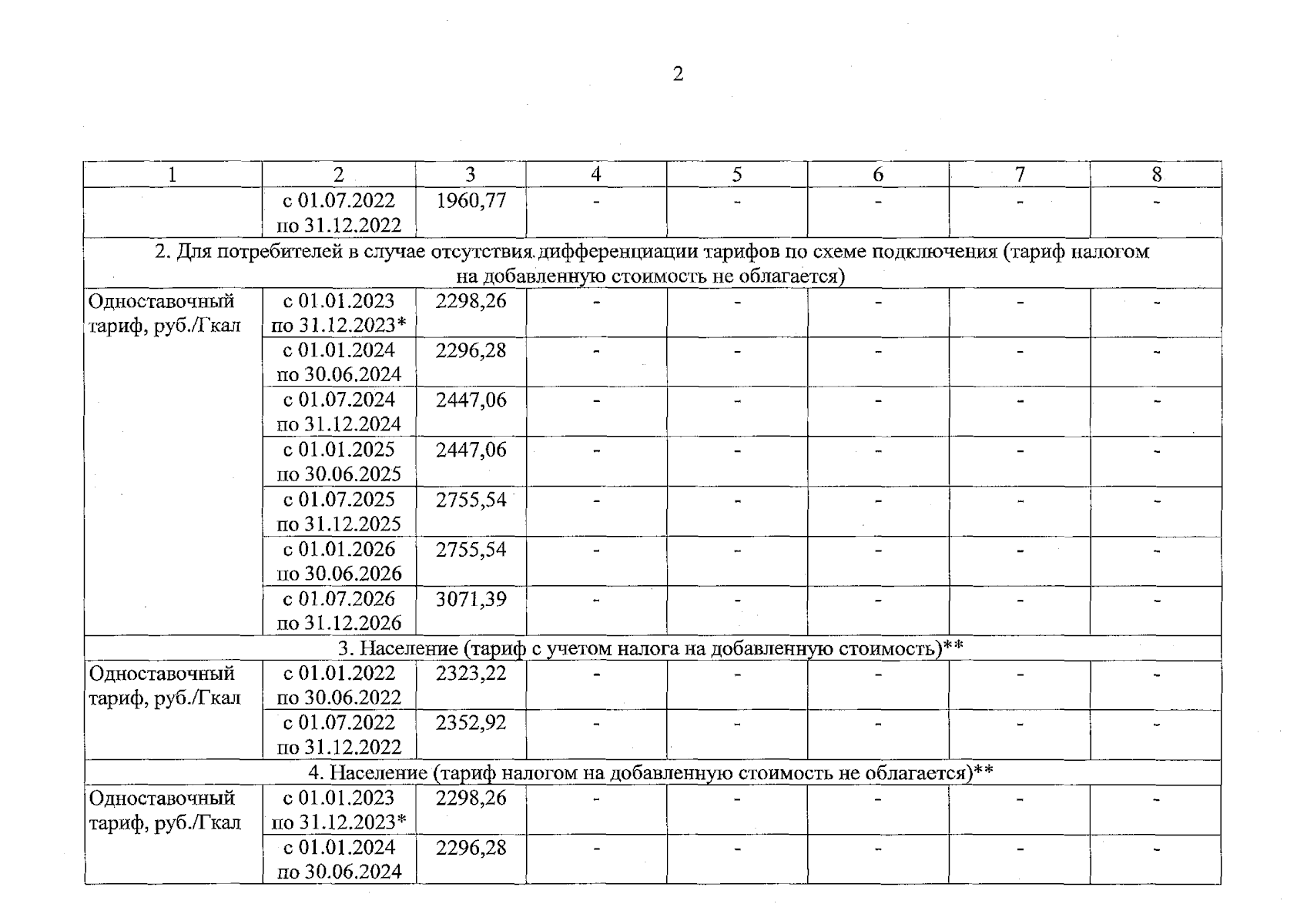
Приказ министерства тарифного регулирования Ярославской области от 12.12.2023 № 266-ви
"О внесении изменений в приказ департамента жилищно-коммунального хозяйства, энергетики и регулирования тарифов Ярославской области от 20.12.2021 № 271-тэ"
(Зарегистрирован 14.12.2023 № 43-14231)
Номер опубликования: 7601202312180046
Дата опубликования: 18.12.2023
Страница №4 из 8:
Увеличить