Официальное опубликование правовых актов
ОФИЦИАЛЬНОЕ ОПУБЛИКОВАНИЕ
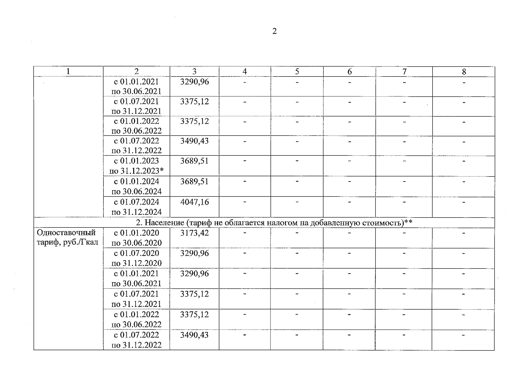
Приказ министерства тарифного регулирования Ярославской области от 24.10.2023 № 87-ви
"О внесении изменений в приказ департамента жилищно-коммунального хозяйства, энергетики и регулирования тарифов Ярославской области от 16.12.2019 № 263-тэ"
(Зарегистрирован 26.10.2023 № 43-13890)
Номер опубликования: 7601202310270022
Дата опубликования: 27.10.2023
Страница №6 из 7:
Увеличить