Приказ министерства тарифного регулирования Ярославской области от 24.10.2023 № 91-тэ
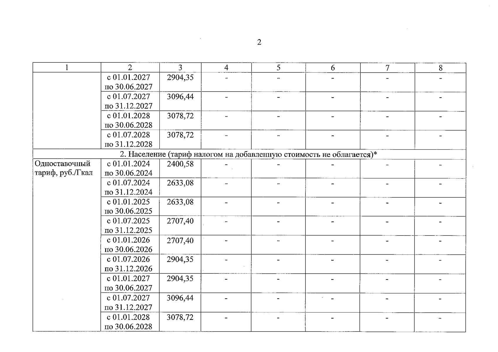
"Об установлении тарифов на тепловую энергию, поставляемую потребителям Любимским муниципальным унитарным предприятием жилищно-коммунального хозяйства, на 2024 – 2028 годы"
(Зарегистрирован 26.10.2023 № 43-13893)
"Об установлении тарифов на тепловую энергию, поставляемую потребителям Любимским муниципальным унитарным предприятием жилищно-коммунального хозяйства, на 2024 – 2028 годы"
(Зарегистрирован 26.10.2023 № 43-13893)
Номер опубликования: 7601202310270019
Дата опубликования:
27.10.2023
