Официальное опубликование правовых актов
ОФИЦИАЛЬНОЕ ОПУБЛИКОВАНИЕ
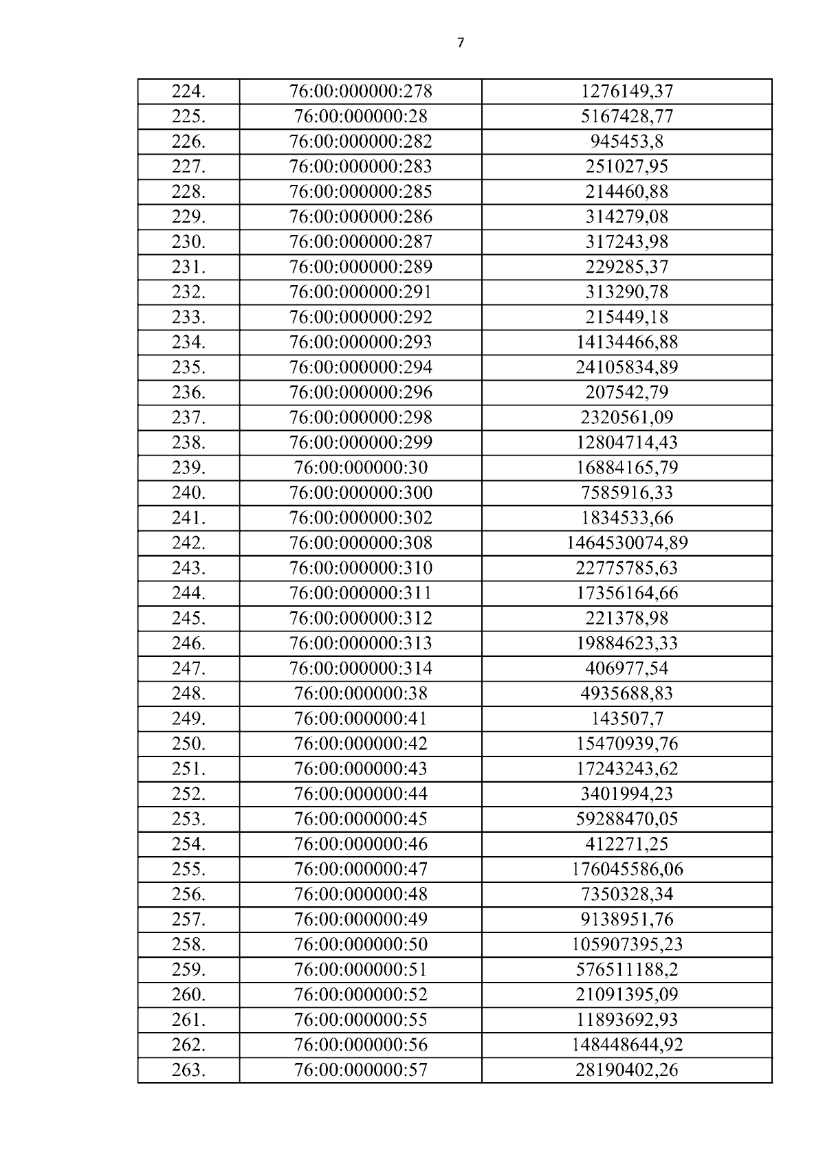
Приказ министерства имущественных отношений Ярославской области от 10.10.2023 № 26-н
"Об утверждении результатов определения кадастровой стоимости зданий, помещений, сооружений, объектов незавершенного строительства, машино-мест, расположенных на территории Ярославской области"
(Зарегистрирован 11.10.2023 № 16-13840)
Номер опубликования: 7601202310130004
Дата опубликования: 13.10.2023
Страница №9 из 25083:
Увеличить