Официальное опубликование правовых актов
ОФИЦИАЛЬНОЕ ОПУБЛИКОВАНИЕ
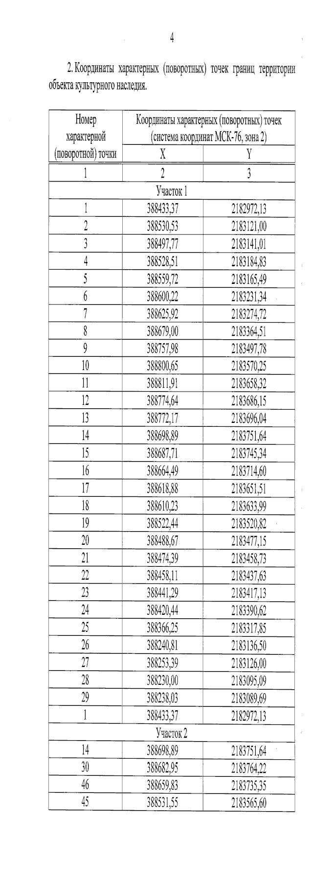
Приказ Департамента охраны объектов культурного наследия Ярославской области от 22.05.2023 № 46
"О включении выявленных объектов культурного наследия в единый государственный реестр объектов культурного наследия (памятников истории и культуры) народов Российской Федерации, об исключении выявленных объектов культурного наследия из единого государственного реестра объектов культурного наследия, уточнении сведений о выявленном объекте культурного наследия и об объекте культурного наследия регионального значения и утверждении состава объекта культурного наследия регионального значения"
(Зарегистрирован 24.05.2023 № 36-13603)
Номер опубликования: 7601202305260004
Дата опубликования: 26.05.2023
Страница №10 из 54:
Увеличить