Официальное опубликование правовых актов
ОФИЦИАЛЬНОЕ ОПУБЛИКОВАНИЕ
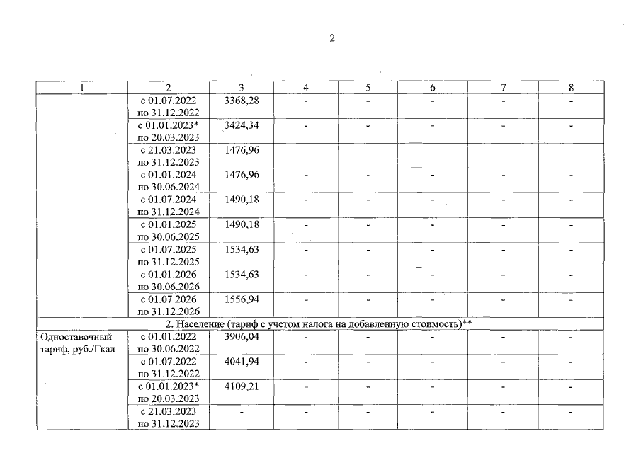
Приказ Департамента регулирования тарифов Ярославской области от 21.03.2023 № 23-ви
"О внесении изменений в приказ департамента жилищно-коммунального хозяйства, энергетики и регулирования тарифов Ярославской области от 20.12.2021 № 285-тэ"
(Зарегистрирован 30.03.2023 № 43-13496)
Номер опубликования: 7601202303310001
Дата опубликования: 31.03.2023
Страница №4 из 7:
Увеличить