Официальное опубликование правовых актов
ОФИЦИАЛЬНОЕ ОПУБЛИКОВАНИЕ
Приказ Департамента регулирования тарифов Ярославской области от 21.02.2023 № 5-нп
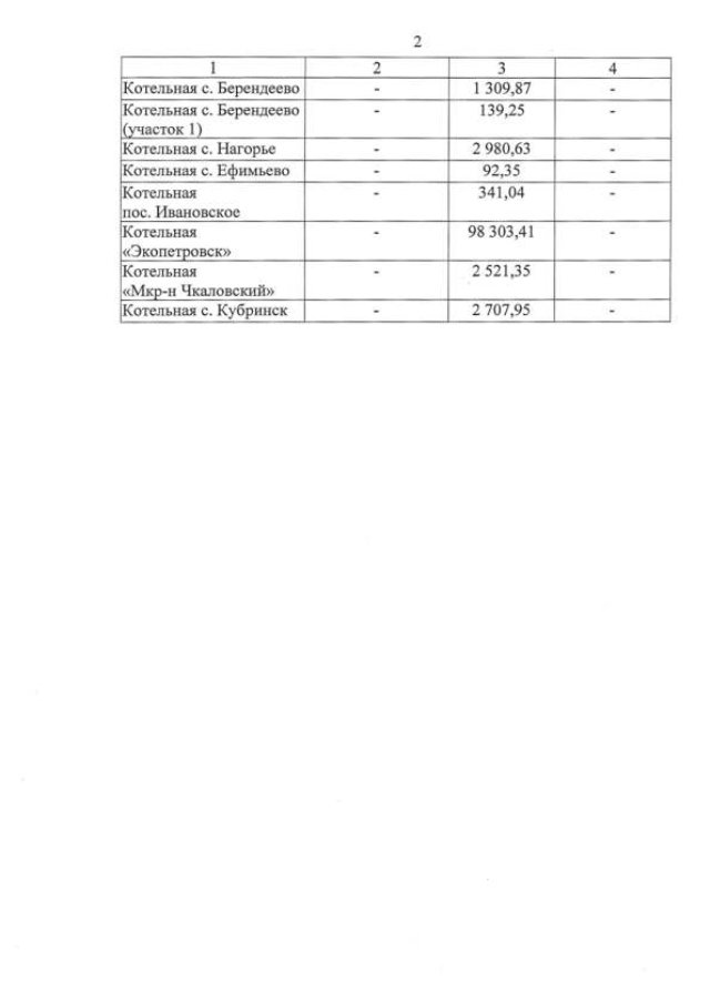
"Об утверждении нормативов технологических потерь при передаче тепловой энергии, теплоносителя по тепловым сетям общества с ограниченной ответственностью "Городские коммунальные сети"
(Зарегистрирован 27.02.2023 № 43-13430)
Номер опубликования: 7601202303010005
Дата опубликования: 01.03.2023
Страница №3 из 3:
Увеличить