Официальное опубликование правовых актов
ОФИЦИАЛЬНОЕ ОПУБЛИКОВАНИЕ
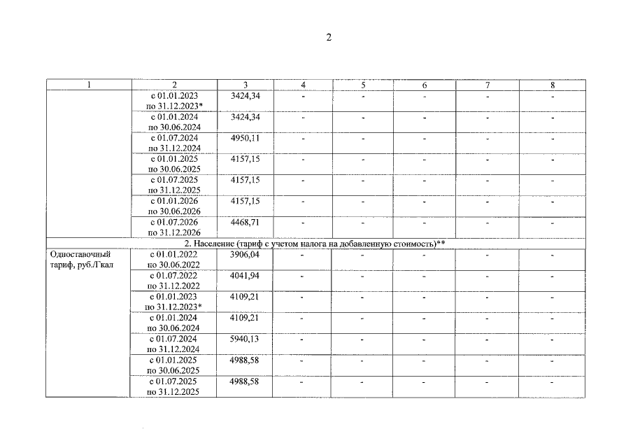
Приказ Департамента регулирования тарифов Ярославской области от 18.11.2022 № 315-ви
"О внесении изменений в приказ департамента жилищно-коммунального хозяйства, энергетики и регулирования тарифов Ярославской области от 20.12.2021 № 285-тэ"
(Зарегистрирован 18.11.2022 № 43-13124)
Номер опубликования: 7601202211210039
Дата опубликования: 21.11.2022
Страница №4 из 5:
Увеличить