Официальное опубликование правовых актов
ОФИЦИАЛЬНОЕ ОПУБЛИКОВАНИЕ
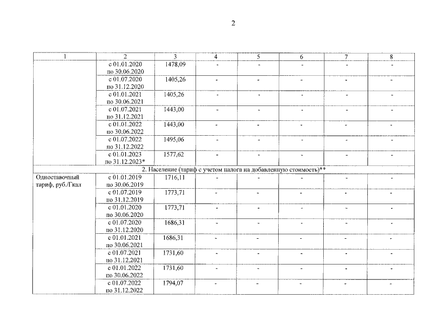
Приказ Департамента регулирования тарифов Ярославской области от 18.11.2022 № 242-ви
"О внесении изменений в приказ департамента жилищно-коммунального хозяйства, энергетики и регулирования тарифов Ярославской области от 19.12.2018 № 304-тэ"
(Зарегистрирован 18.11.2022 № 43-13051)
Номер опубликования: 7601202211180080
Дата опубликования: 18.11.2022
Страница №23 из 24:
Увеличить