Официальное опубликование правовых актов
ОФИЦИАЛЬНОЕ ОПУБЛИКОВАНИЕ
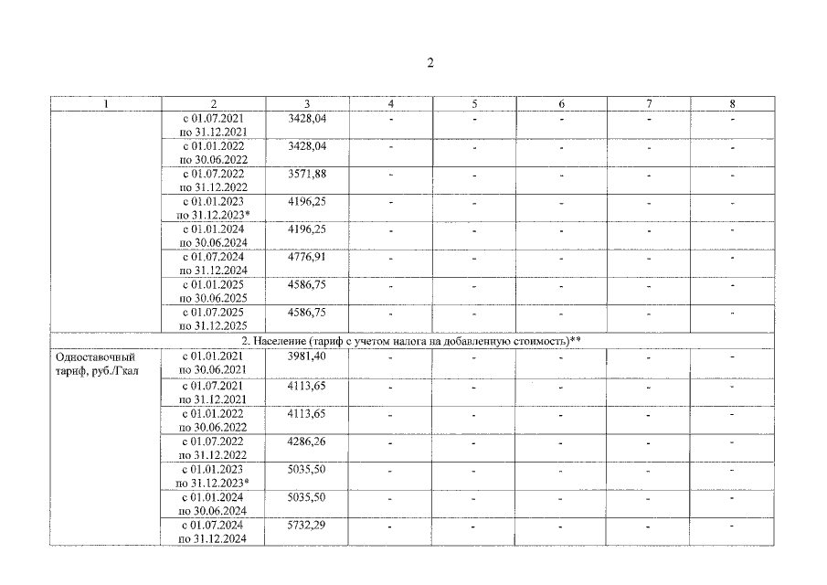
Приказ Департамента регулирования тарифов Ярославской области от 18.11.2022 № 213-ви
"О внесении изменений в приказ департамента жилищно-коммунального хозяйства, энергетики и регулирования тарифов Ярославской области от 17.12.2020 № 250-тэ"
(Зарегистрирован 18.11.2022 № 43-13022)
Номер опубликования: 7601202211180062
Дата опубликования: 18.11.2022
Страница №11 из 12:
Увеличить