Официальное опубликование правовых актов
ОФИЦИАЛЬНОЕ ОПУБЛИКОВАНИЕ
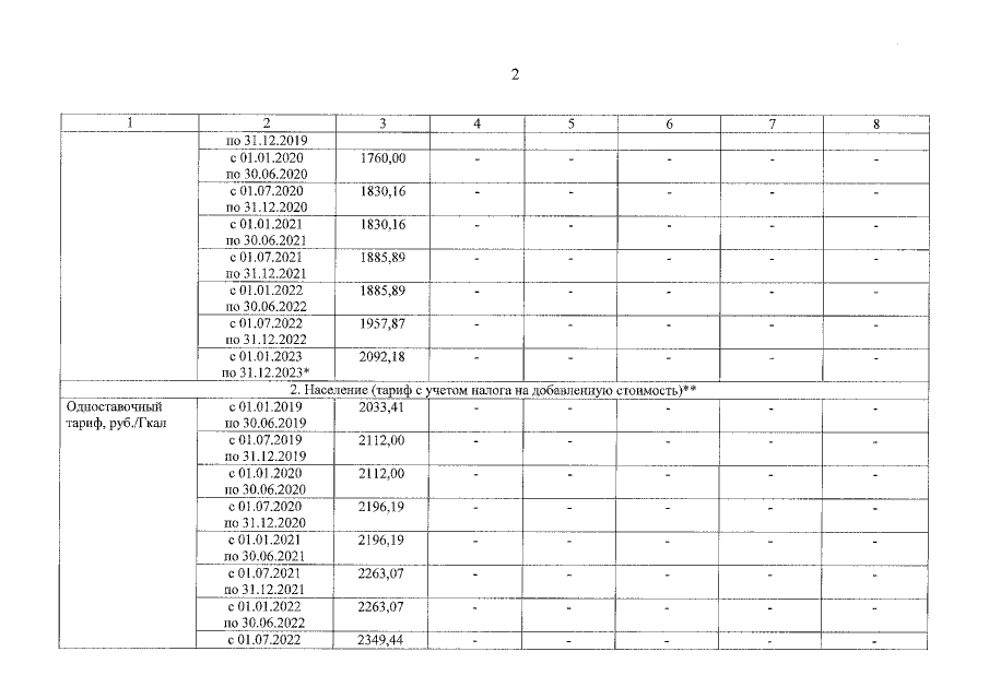
Приказ Департамента регулирования тарифов Ярославской области от 18.11.2022 № 223-ви
"О внесении изменений в приказ департамента жилищно-коммунального хозяйства, энергетики и регулирования тарифов Ярославской области от 19.12.2018 № 305-тэ"
(Зарегистрирован 18.11.2022 № 43-13032)
Номер опубликования: 7601202211180059
Дата опубликования: 18.11.2022
Страница №4 из 13:
Увеличить