Официальное опубликование правовых актов
ОФИЦИАЛЬНОЕ ОПУБЛИКОВАНИЕ
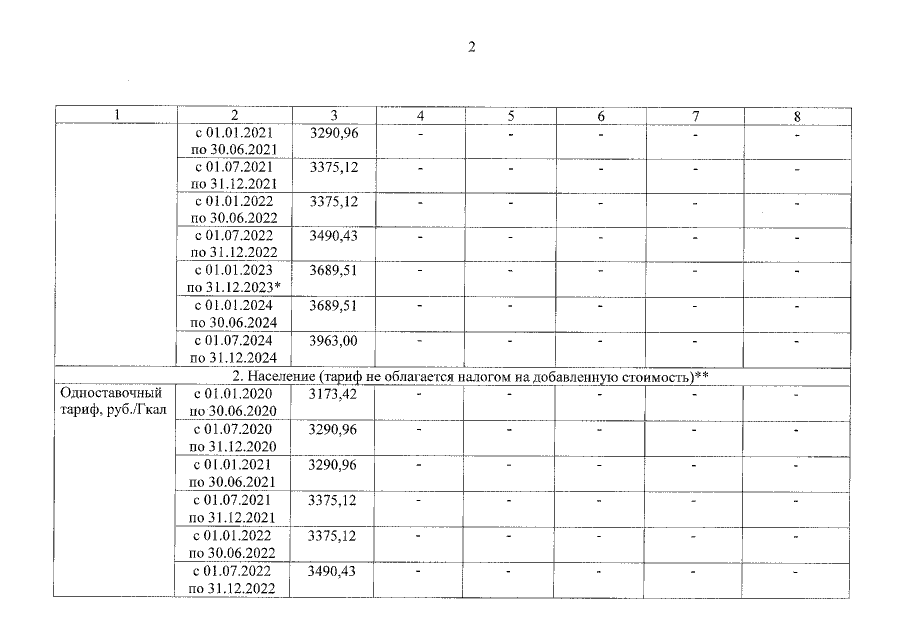
Приказ Департамента регулирования тарифов Ярославской области от 17.11.2022 № 191-ви
"О внесении изменений в приказ департамента жилищно-коммунального хозяйства, энергетики и регулирования тарифов Ярославской области от 16.12.2019 № 263-тэ"
(Зарегистрирован 17.11.2022 № 43-12997)
Номер опубликования: 7601202211180002
Дата опубликования: 18.11.2022
Страница №6 из 7:
Увеличить