Официальное опубликование правовых актов
ОФИЦИАЛЬНОЕ ОПУБЛИКОВАНИЕ
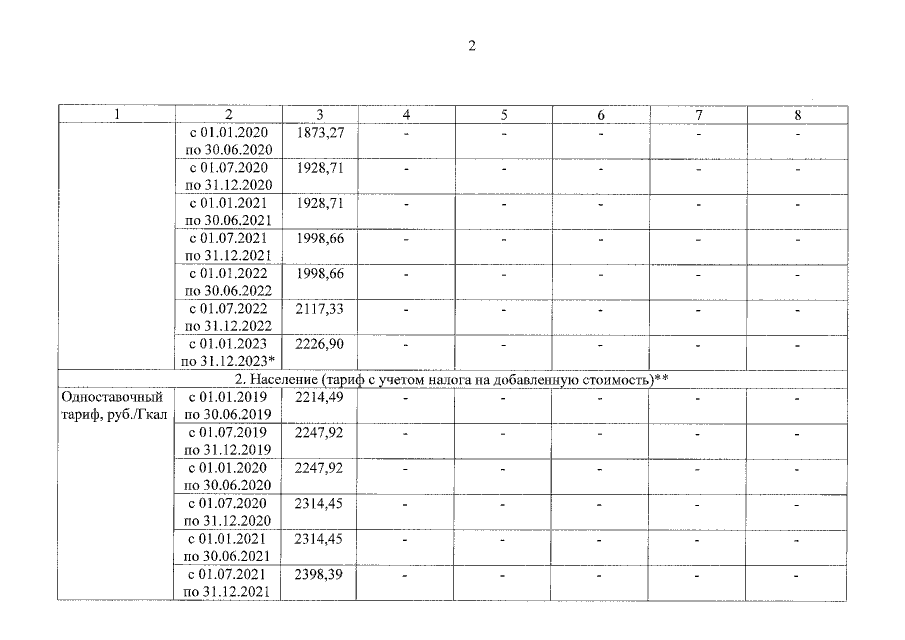
Приказ Департамента регулирования тарифов Ярославской области от 17.11.2022 № 110-ви
"О внесении изменений в приказ департамента жилищно-коммунального хозяйства, энергетики и регулирования тарифов Ярославской области от 05.12.2018 № 198-тэ"
(Зарегистрирован 17.11.2022 № 43-12915)
Номер опубликования: 7601202211170044
Дата опубликования: 17.11.2022
Страница №4 из 5:
Увеличить