Официальное опубликование правовых актов
ОФИЦИАЛЬНОЕ ОПУБЛИКОВАНИЕ
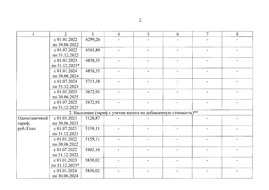
Приказ Департамента регулирования тарифов Ярославской области от 16.11.2022 № 100-ви
"О внесении изменений в приказ департамента жилищно-коммунального хозяйства, энергетики и регулирования тарифов Ярославской области от 17.12.2020 № 278-тэ"
(Зарегистрирован 17.11.2022 № 43-12905)
Номер опубликования: 7601202211170029
Дата опубликования: 17.11.2022
Страница №4 из 5:
Увеличить