Официальное опубликование правовых актов
ОФИЦИАЛЬНОЕ ОПУБЛИКОВАНИЕ
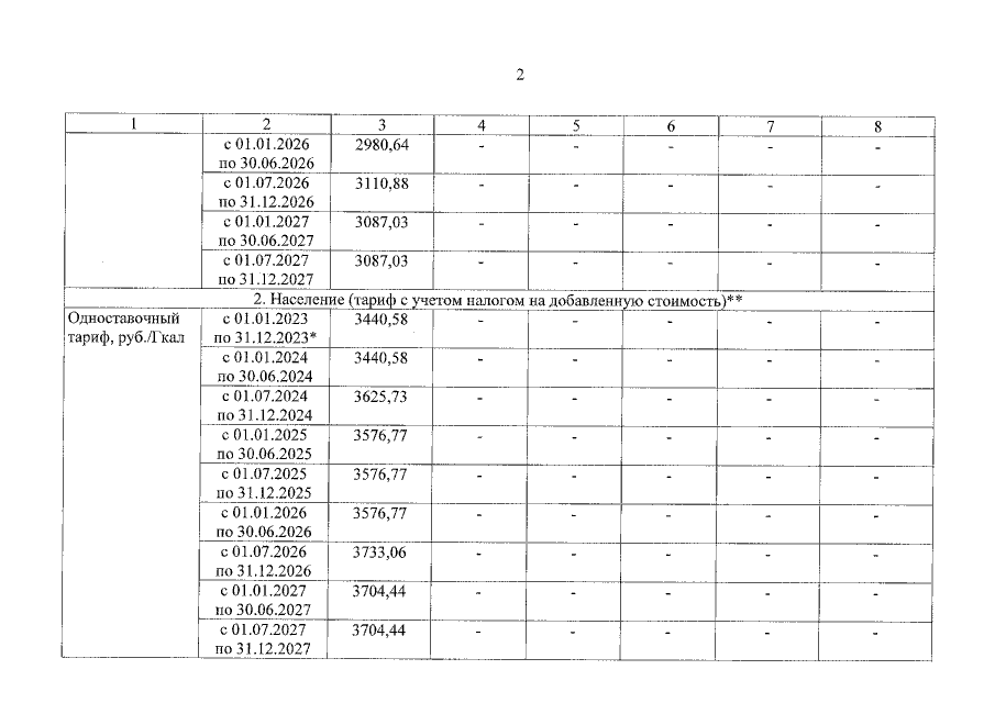
Приказ Департамента регулирования тарифов Ярославской области от 16.11.2022 № 87-тэ
"Об установлении тарифов на тепловую энергию, поставляемую потребителям обществом с ограниченной ответственностью "Транснефть – Балтика" (филиал – Ярославское районное нефтепроводное управление), осуществляющим деятельность на территории Некоузского муниципального района, на 2023 – 2027 годы"
(Зарегистрирован 17.11.2022 № 43-12892)
Номер опубликования: 7601202211170006
Дата опубликования: 17.11.2022
Страница №4 из 6:
Увеличить