Официальное опубликование правовых актов
ОФИЦИАЛЬНОЕ ОПУБЛИКОВАНИЕ
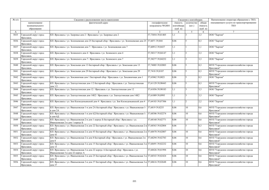
Приказ Департамента охраны окружающей среды и природопользования Ярославской области от 26.05.2022 № 7-н
"Об утверждении территориальной схемы обращения с отходами Ярославской области и о признании утратившими силу отдельных приказов департамента охраны окружающей среды и природопользования Ярославской области"
(Зарегистрирован 15.08.2022 № 13-12686)
Номер опубликования: 7601202208240004
Дата опубликования: 24.08.2022
Страница №848 из 1047: